1. Introduction
Since the dawn of civilization, humanity has been driven by a desire for the future and uncertainty, prompting people to seek guidance through various rituals, symbols, and media: Tribal shamans interpreted the stars and animal bones, imperial priests sought divine oracles, and ordinary people cast divination blocks at temples—all seeking nothing more than abundant hunting, bountiful harvests, victory in war, or auspicious marriages. This impulse to pierce the veil of time and anchor one's destiny is rooted in the anxiety and anticipation within the individual, yet it also forms the essential knowledge foundation that sustains collective action and group identity, making the future a central issue concerning survival and order.
As “natives” of the digital age, Generation Z (typically referring to those born between 1995 and 2010) has had its cognitive and behavioral patterns profoundly shaped by technologies such as the internet, mobile communications, and social media. They possess a natural affinity for and high acceptance of emerging technologies, accustomed to using digital means to obtain information, establish connections, and explore the world. Their ways of thinking, value orientations, and lifestyles all bear the distinct imprint of technology. In the wave of deep integration between digital technology and youth subculture, new cultural practices are emerging that are reshaping the cognitive patterns and behavioral logic of contemporary youth. Amid the rapid development of artificial intelligence (AI) technology, large language model products like DeepSeek have gained popularity among Generation Z, giving rise to a unique cultural phenomenon known as “AI fortune-telling” or “cyber divination.” During the 2025 Spring Festival, DeepSeek, originally an AI large language model, sparked a social media craze due to its “fortune-telling” feature: users could input their birth dates, zodiac signs, or ask random questions to receive detailed reports covering personality analysis, career prospects, and even scenarios of meeting their “true love,” demonstrating how intelligent technology has endowed fortune-telling with a “personalized” characteristic [1]. This “cyber fortune-telling” phenomenon has not only permeated young people's daily lives in work, study, and relationships but has also given rise to a youth subculture where “when in doubt, consult the mystical first.”
How exactly does AI fortune-telling influence Gen Z's daily decision-making? Does prolonged interaction with such technology lead to a “domesticated” cognitive pattern among young people? These questions remain to be thoroughly explored. This study focuses on Gen Z's use of DeepSeek for AI fortune-telling, collecting relevant textual materials and combining them with in-depth interviews to systematically outline the specific mechanisms through which AI fortune-telling influences daily decision-making. It explores the evolution of young people's cognition in technological interaction. The aim is to capture the unique decision-making experiences of young people in the digital intelligence era through an in-depth exploration of this emerging cultural practice, revealing the underlying social-psychological logic and patterns of technological acceptance.
2. Literature review
Anthropologist Ron Vlad defines divination as “the prediction of future events or the discovery of hidden or obscure things through supernatural or magical means” [2]. Traditional divination practices rely on human mental computation. Whether it be the astrological analysis of celestial bodies in astrology, or the interpretation of hexagrams in the Four Pillars of Destiny or Zi Wei Dou Shu, these practices center on the diviner's experience, intuition, and cultural understanding. Their “mystery” stems from the attribution of supernatural forces and humanity's reverence for the unknown [3].
AI divination is the technological extension of traditional divination in the digital age, but its underlying logic has undergone a fundamental transformation. From a technical perspective, AI divination relies on artificial intelligence technologies (such as DeepSeek, ChatGPT, and other large language models) to automatically collect massive amounts of data, simulate the human brain's inferential processes through deep learning algorithms, and ultimately generate predictive content [4]. Online tarot divination, zodiac fortune-telling, and other “new online mysticism” are essentially online migrations of traditional divination forms, with content generation still relying on fixed tarot card interpretation templates, zodiac fortune-telling texts, etc., while technology serves merely as a dissemination medium. In contrast, the core of AI divination lies in “artificial intelligence simulation and generation,” with its technological attributes and interactive logic far surpassing the “digital replication” of traditional online divination.
Based on the above analysis, this study defines “AI divination” as: a new cultural practice that uses DeepSeek, an artificial intelligence large language model, as its medium, generates predictive content through user input information, leveraging big data and deep learning algorithms, and combines social media dissemination.
2.1. The impact of AI on interaction patterns among young people
The core characteristics of AI technology profoundly influence its interaction patterns with young people. These characteristics include both advantages that promote the popularization of technology and limitations that may trigger negative effects. The widespread adoption of AI technology is driven by breakthroughs in machine learning and natural language processing. Chung and Park and Wang et al. note that advancements in machine learning algorithms enable AI to continuously optimize its performance through data training, while natural language processing technology has driven the development of conversational AI (CAI), enabling it to achieve “human-like interaction” [5-7]. This technological foundation has led to extremely high user stickiness—Merritt found that 60% of American youth use CAI multiple times daily [8], while generative AI achieves high-certainty problem-solving through the analysis of massive amounts of data [9], further expanding its applications in decision-making [10,11].
In terms of social interaction, AI provides young people with new channels for engagement. High and Caplan found that young people with social anxiety are more likely to engage in pseudo-interpersonal interactions via CAI, as it offers a “stress-free communication environment” [12]. Nomura et al. further confirmed that compared to interacting with humans, socially anxious individuals experience significantly reduced anxiety levels when interacting with AI, making AI an alternative option for some young people to avoid real-world social pressures [13]. However, Ramadan cautioned that the personalized feedback provided by CAI may lead to young people becoming overly reliant on technology, weakening their face-to-face communication skills and fostering “technology dependency” [14].
It is worth noting that AI interaction has a dual nature. Glikson and Woolley argue that technologies like LLM can transform AI from a tool into an “interactive partner,” enhancing young people's collaborative abilities [15]; however, Klingbeil et al. found in their experiments that young people's overreliance on AI suggestions may lead to decision-making biases, especially when AI conclusions conflict with real-world information [16]. This contradiction highlights the complex impact of AI on young people's interaction patterns, creating a new paradigm of efficient communication while also posing risks of social skill degradation.
The characteristics of AI technology are primarily reflected in its “black-box nature”. Stolow emphasizes that the opacity of algorithms makes their operational mechanisms difficult to fully understand, and this lack of transparency may lead young people to blindly trust their results [17]. The mystique surrounding the internal workings of AI does not diminish the technology's effectiveness; rather, it enhances its credibility. In the logic of algorithmic divination, data-driven insights are often perceived as more reliable precisely because they are difficult for humans to comprehend. When faced with phenomena that are hard to understand, people tend to attribute them to magical or divine forces. The design of algorithmic black boxes, deep learning processes, and other computational systems further reinforces their mystique and authority. Meanwhile, Pasquinelli and Joler argue that AI divination is actually a “statistical culture” where algorithms generate predictions based on large amounts of biased data [18], and their predictive ability is essentially data-driven probability calculations [4].
2.2. Research on the reshaping of cognitive processes in young people by AI
Generative AI (GAI) systems such as DeepSeek and ChatGPT are reshaping cognitive processes. The Need for Cognitive Closure (NFCC) theory posits that individuals tend to seek definitive answers to reduce cognitive uncertainty [19]. This mechanism may be reinforced in AI-based divination—when algorithms consistently provide definitive conclusions, young people may gradually lose their ability to integrate multidimensional information, leading to a reliance on “cognitive shortcuts” [20]. Such “shortcut” cognitive strategies are prone to judgment errors but may also have a positive impact on accurate judgment under specific conditions. The cognitive interaction between young people and AI exhibits a duality of “collaboration-dependence,” presenting both the potential for cognitive enhancement and the risk of cognitive decline.
On one hand, AI can serve as a cognitive aid. Generation Z faces multiple ambiguous situations such as academic competition, career choices, and social recognition. Individuals with a high need for cognitive closure may experience psychological discomfort due to uncertainty [21]. They urgently seek answers, and adopting others' suggestions is a critical component of the decision-making process to enhance decision quality and efficiency [22]. AI divination uses natural language processing technology to convert complex real-world problems into standardized answers, providing immediate certainty compensation. Through technological mediation, it rapidly resolves cognitive uncertainty, fulfilling the psychological need to escape uncertainty. Latif et al.noted that generative AI (GAI) can handle high-cognitive-demand tasks and assist young people in developing critical thinking skills [10]; Zhai emphasized that young people need to cultivate the ability to collaborate with GAI (such as creativity and emotional intelligence) to adapt to a technology-driven environment [23]. Additionally, GAI can reduce biases in human decision-making by reinforcing cautious analytical thinking [24,25], particularly in information overload scenarios, where it can significantly alleviate cognitive load [26].
On the other hand, over-reliance on AI may lead to weakened cognitive abilities. Young people's reliance on external tools may result in the degradation of their autonomous decision-making abilities. Specifically, in AI fortune-telling scenarios, users input personal information to obtain algorithmic suggestions, essentially outsourcing the decision-making process to the technical system. This simplified “ask-and-answer” interaction model may lead to a transfer of decision-making responsibility: young people no longer independently analyze the causes and effects of problems but instead rely on AI's “predictive authority.” Ahmad et al. found that 68.9% of young people's lazy behaviors are related to AI use, as it replaces cognitive activities such as memory and analysis [27]. Sarwat and Krakauer also discovered that long-term reliance on AI reduces human brain thinking abilities, even causing people to “think like algorithms” [28,29]. This reliance is also evident in decision-making: young people may abandon independent judgment due to trust in algorithmic accuracy, even when AI recommendations conflict with objective information [16], creating a paradox of “algorithm appreciation” and “overreliance” [30,31].
2.3. The current state of research on AI divination behavior among Gen Z youth
As a product of the integration of traditional divination and modern technology, AI divination exhibits unique acceptance and practice characteristics among Gen Z youth. Lai and Zhou found that despite frequent data breaches, some young people still exhibit high levels of trust in AI fortune-telling applications [32]. This trust stems from young people's perception of AI's “objectivity”—they believe AI avoids the emotional biases of human fortune-tellers and provides “direct and fair answers.”
The popularity of AI divination must be understood within the context of Chinese culture. China has a long-standing tradition of self-sufficient divination (such as BaZi fortune-telling), which is deeply integrated into everyday decision-making (such as marriage and home purchases). Religious rituals emphasize personal emotional experiences rather than doctrinal learning [3,33]. Digitalization has further driven the spread of traditional divination, democratizing divination practices through free or paid apps [34], allowing users to access pre-stored divination results anytime by simply following programmed steps [35].
In summary, existing literature systematically reveals the interactive effects, cognitive double-edged effects, and phenomenological characteristics of AI divination. However, most studies have focused on ChatGPT, with limited empirical analysis of DeepSeek, an emerging generative AI. Unlike ChatGPT, which is primarily trained on Western-contextual data, DeepSeek's core advantage lies in its rich repository of traditional Chinese divination cultural data, particularly including classical texts such as the I Ching. As one of China's oldest divination classics, the I Ching's system of hexagram interpretation serves as the core medium for traditional divination practices. Through the interpretation of symbolic systems such as yin-yang and the Eight Trigrams, it became an important tool for ancient people to predict fortune and misfortune and guide decision-making [3,33]. This corpus foundation rooted in local culture enables DeepSeek to deeply integrate the cultural logic of traditional divination with big data algorithms: on one hand, its deep understanding of texts like the I Ching allows it to accurately capture the cognitive characteristics of “observing objects to derive symbols” and “using symbols to express meaning” in traditional Chinese divination. Compared to AI divination tools that rely on Western astrology systems, DeepSeek provides a more culturally relevant sample for studying Z-generation divination behavior in the context of traditional and modern influences. Its unique corpus composition gives it certain research value for studying AI divination behavior among Z-generation youth.
Regarding the specific mechanisms through which Gen Z youth use AI divination results to influence their future decisions, current research remains limited and warrants further exploration. Additionally, there has been no reflective discussion on the potential cognitive risks associated with prolonged reliance on AI divination, such as whether it leads to a preference for simplistic attributions of complex realities or erodes the ability for deep thinking. Specifically, this paper poses the following research question: How does AI fortune-telling intervene in the daily decision-making of Generation Z youth?
Around this main question, this study further sets two sub-questions for discussion:
Sub-question 1: During the process of AI fortune-telling continuously participating in decision-making, do the cognitive patterns of Generation Z youth undergo adaptive changes?
Sub-question 2: If such cognitive pattern changes exist, do they exhibit characteristics similar to “cognitive domestication”?
3. Research methods
3.1. Text analysis method
3.1.1. Word frequency analysis
This study conducted a word frequency analysis of DeepSeek divination-related corpus data from the Red Note (Xiaohongshu) platform. The findings reveal that users are highly focused on the AI tools themselves and their efficient, command-based operational experiences; content deeply integrates traditional astrology with popular zodiac culture; discussion focal points strongly reflect the core life pressures and decision-making issues of Generation Z, such as academics, relationships, and careers; user emotional feedback exhibits a notable mix of skepticism toward accuracy and a search for psychological comfort, accompanied by a certain degree of community interaction.
High-frequency words prominently highlight the AI tools themselves and their usage methods, clearly indicating the interaction pattern between users and AI fortune-telling tools—that is, inputting specific commands, invoking pre-set templates, and seeking quick, direct analysis results. These high-frequency interaction terms reveal users' strong demand for and perception of the efficiency, convenience, and operability of AI fortune-telling. The analysis results confirm that AI fortune-telling content integrates Eastern and Western esoteric elements. Traditional astrological concepts account for a significant proportion, reflecting users' continued interest in traditional astrological predictions and their digital migration in AI scenarios. At the same time, modern zodiac culture is deeply integrated, reflecting Gen Z's familiarity with and preference for the zodiac as a popular cultural symbol. This integration reflects the characteristic of AI divination as a cultural-technological interface, integrating diverse esoteric and divination knowledge to meet users' diverse needs. The frequent use of critical terms like “inaccurate” indicates that AI outputs are used as references for reflection and cross-validation, rather than as one-sided destiny directives. In summary, the influence of AI divination on Generation Z is not traditional fatalistic submission, but rather an “algorithm-assisted negotiated decision-making” process—using technology to alleviate anxiety and completing individual decision-making through community interaction. Specific results are shown in Table 1.
Word |
Frequency |
Bazi |
423 |
deepseek |
402 |
Inaccurate |
352 |
Instruction |
323 |
Like |
262 |
Luck Cycle |
225 |
Analysis |
208 |
Constellation |
188 |
Sisters |
188 |
Template |
164 |
Fortune-telling |
164 |
ds |
158 |
Grades |
156 |
DeepSeek |
147 |
Friend |
132 |
Society |
116 |
ai |
107 |
Emotion |
99 |
Template |
95 |
Exam |
93 |
3.1.2. Thematic analysis
The distribution of post and comment themes (Figure 1) shows that the primary theme of posts is “AI technology applications” (accounting for over 80%), focusing on the technical implementation, functional characteristics, and innovative applications of AI tools in fortune-telling scenarios, reflecting content creators' exploration of the integration of “technology and mysticism.” Comment topics are centered on “user interaction and experience” (accounting for over 90%), covering discussions about AI divination results, emotional feedback, and decision-making influences, reflecting Gen Z's cognitive and behavioral associations with AI divination in interactive contexts.

Further analysis using the LDA model identified three latent themes. Theme one is “technology-enabled esoteric innovation.” By integrating AI technology (deepseek, AI) with divination processes (prediction, fortune-telling), it explores how technology can optimize esoteric services (e.g., algorithm-driven fortune analysis), reflecting the “instrumental rationality” of the digital reconstruction of traditional esoteric practices. Theme two is esoteric practices in youth culture. By focusing on esoteric symbols such as zodiac signs, Chinese zodiac animals, and birth charts, combined with Gen Z's entertainment and social needs (such as fortune-telling discussions in comment sections), this theme presents the interactivity and ritualistic nature of esotericism as a symbol of youth culture, reflecting the role of “emotional rationality” in decision-making. The dual mechanism of decision-making influence is theme three. AI divination influences youth decision-making through a dual narrative of technological authority and esoteric symbols (such as fortune and destiny) — the technological aspect provides “data-driven decision support,” while the esoteric aspect satisfies the psychological need for “uncertainty avoidance,” forming a “technology-culture” dual-path influence mechanism. In summary, LDA thematic analysis reveals that Gen Z youth in AI fortune-telling scenarios rely on both the innovative experience of technological tools and the emotional logic of esoteric culture, with both jointly constructing a composite mechanism of decision-making influence.
3.1.3. Sentiment analysis
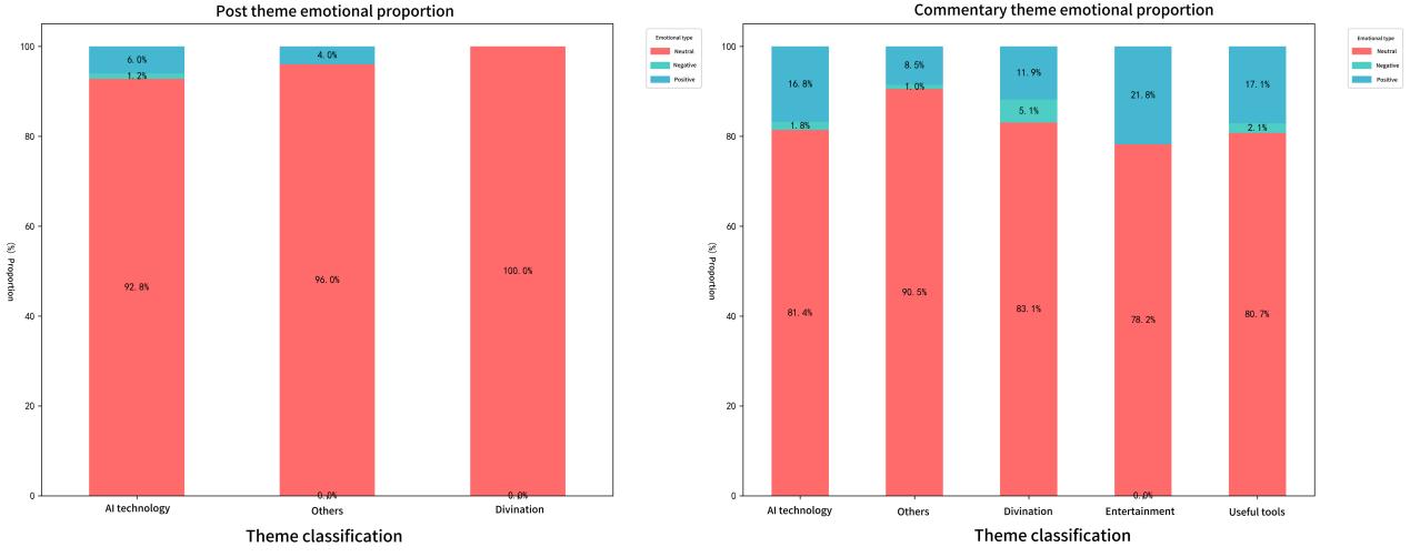
In the post topics (Figure 2), “AI technology,” “other,” and “fortune-telling prediction” all have neutral sentiment as their core (accounting for 92.8%, 96.0%, and 100%, respectively), reflecting a tendency toward objective descriptions of AI fortune-telling technology, functions, and esoteric scenarios in content production. Among these, the “Divination Prediction” theme is entirely neutral (with 0% negative and 0% positive sentiment), indicating that posts focus more on information transmission (such as the divination process and functional introductions of AI tools) rather than emotional expression; The “AI Technology” theme has slightly higher positive sentiment (6.0%) than negative sentiment (1.2%), reflecting mild affirmation of technological innovation. The low proportion of negative sentiment (≤1.2%) indicates that there are few negative controversies in content production.

Among comment themes, neutral emotions still dominate (78.2%–90.5%), but positive emotions have significantly increased in “Entertainment Experience” (21.8%) and “Practical Tools” (17.1%), indicating that Gen Z users have positive emotional feedback toward the entertainment value and practical functions of AI fortune-telling. Negative emotions generally remain below 6% (with the highest being 5.1% in the “Fortune-Telling Predictions” category), indicating that users have few negative emotions toward AI fortune-telling. The overall sentiment leans towards “Neutral-Positive”, reflecting a high level of acceptance and emotional identification with AI divination among the youth group.
The widespread presence of low negative emotions further validates the “low resistance” characteristic of AI divination among Gen Z youth. Emotional analysis results indicate that AI divination has established a stable emotional ecosystem among young people through the rational dissemination of neutral information and the reinforcement of positive emotions, providing an emotional dimension to support decision-making mechanisms under the “technology-culture” interaction framework.
3.2. In-depth interviews
The study recruited participants through the Red Note platform, selecting 16 respondents who met the criteria of being part of Generation Z (born between 1995 and 2010), having used DeepSeek for divination consistently over the past three months, and being enthusiasts of divination and esoteric studies (basic information is provided in Table 2). The interviews were conducted in a semi-structured format, lasting 20–30 minutes per person, covering the following topics: first, divination usage scenarios; second, decision-making reference processes; third, trust and emotional attachment toward AI divination; fourth, evolution of cognitive patterns after AI divination. It should be noted that due to platform privacy settings, text analysis did not include posts set to “visible only to oneself”; all interview participants were active users, which may introduce a bias toward positive attitudes toward AI divination. Future research will aim to balance data objectivity by expanding the sample sources.
Code |
Age |
Gender |
Identity |
F1 |
20 |
Female |
Undergraduate |
F2 |
23 |
Female |
Postgraduate |
F3 |
25 |
Female |
Undergraduate |
F4 |
25 |
Female |
Postgraduate |
F5 |
20 |
Female |
Undergraduate |
F6 |
21 |
Female |
Undergraduate |
F7 |
22 |
Female |
Postgraduate |
F8 |
26 |
Female |
PhD Student |
F9 |
22 |
Female |
Undergraduate |
F10 |
24 |
Female |
Postgraduate |
F11 |
27 |
Female |
Employed |
F12 |
20 |
Female |
Undergraduate |
F13 |
28 |
Female |
Illustrator |
F14 |
27 |
Female |
Employed |
F15 |
23 |
Female |
Postgraduate |
M16 |
19 |
Male |
Undergraduate |
4. Analysis of AI divination usage behavior and decision-making patterns
Through an analysis of in-depth interview data from 16 Gen Z respondents, it was found that the use of DeepSeek divination among young people can be summarized into two core behaviors: tool-oriented use for decision-making assistance and experiential use centered on emotional regulation. AI divination has been embedded into the daily decision-making scenarios of Gen Z youth, covering multiple dimensions such as academics, career, emotions, and personal development. These behaviors not only reflect young people's strategies for coping with uncertainty but also highlight the new characteristics of esoteric practices in the digital age.
4.1. The contextualized practice of AI fortune-telling
4.1.1. The penetration of fortune-telling into daily decision-making scenarios
Young people view AI fortune-telling as a “supplemental information source” in decision-making scenarios, using fortune-telling results to enhance the certainty of their decisions. This practice is concentrated in areas such as academics, career, and relationships, which are characterized by uncertainty, reflecting a distinct tool-rationality feature.
In academic scenarios, respondents often use divination to alleviate exam anxiety or plan their educational paths. For example, before final exams, they may seek “passage advice” through divination, including details such as clothing colors or items to bring, which serve as a psychological crutch to cope with academic pressure.
"It gave me some suggestions like wearing an agate bracelet, what color clothes to wear, how many pens to bring. So I bought them. It felt like helping myself get through a difficult time." (M16)
"I used DeepSeek to predict my postgraduate entrance exam score. It gave a very precise range: what score I might get if I performed averagely, excellently, or poorly. Seeing these scores gave me some reassurance." (F2)
In career decisions, divination is mostly used for choosing directions and assessing opportunities. In emotional decisions, it's more about maintaining relationships and predicting how they'll develop. Plus, everyday stuff like travel safety and spending decisions are also things people ask about, showing that AI divination has gone from being a fun thing on the side to a helpful tool for everyday decisions, showing how people are starting to rely on it for small decisions.
"At the time, I was struggling with my career path after my master's: whether to pursue a job within the system (government/state-owned) or outside. I asked DeepSeek to analyze, based on my geographical background and Bazi, which location would be more auspicious for my career." (F9)*
"I might enjoy socializing, but I feel unsure about maintaining relationships. Things seem good now, but I worry they won't last. So I tested how long my relationship with this person might last, or whether our personalities are compatible." (F3)
"Communicating with superiors makes me very anxious. Every word I say worries me about their impression. I tend to overthink. So I asked DeepSeek about the superior's attitude: whether they genuinely think my ability is poor or if it was just a momentary outburst, to decide how to communicate with them later." (F5)
"For example, before going to Jeju Island, I was scared because a Korean airline had an incident and I happened to be booked on one. I asked DeepSeek to divine if there would be any danger flying with that airline those days." (F7)
In such practices, young people attempt to bridge the information gap through AI's “algorithmic authority,” which is essentially an attempt to address decision-making anxiety. This penetration indicates that AI fortune-telling has evolved from a marginal entertainment tool into a “micro-reference” for daily decision-making, forming a scenario distribution characterized by “reliance on small matters and reference for major matters”, reflecting Generation Z's coping strategies for uncertainty.
4.1.2. Ritualized usage behavior
When using DeepSeek for fortune-telling, Gen Z gradually formed ritualized behaviors that are repetitive and symbolic, reinforcing the perceived “effectiveness” of fortune-telling through a fixed process. On the one hand, users impart “sacredness” to fortune-telling through standardized steps. Respondents first use third-party tools to arrange the cards, then submit them to DeepSeek for interpretation, forming a fixed ritual of “manual preprocessing & algorithmic interpretation” that combines traditional mystical practices with digital tools. On the other hand, high-frequency, repetitive operations form the core of the ritual, such as conducting fortune-telling twice a week. Some respondents repeatedly initiate conversations and adjust their questioning methods, transforming the fortune-telling process into a ritual of self-persuasion. This ritualized behavior perpetuates the “procedural sense” of traditional metaphysics while reducing time costs through AI's instant feedback, reflecting the ritual reconstruction of metaphysical practice in the digital age.
4.2. The algorithmic transformation of decision-making models
4.2.1. The evolution of decision-making logic: from deep thinking to algorithm dependency
AI-driven decision-making has, to some extent, simplified the decision-making logic of Gen Z youth, manifesting as a reliance on algorithmic conclusions. Some interviewees admitted that when faced with choices, they no longer conduct systematic analysis but directly refer to AI suggestions. This simplification stems from both a pursuit of efficiency and decision-making anxiety among young people—by outsourcing the thinking process to algorithms, they alleviate the internal conflict and decision-making indecision caused by “choice paralysis”. However, some respondents maintain critical thinking, such as verifying AI results by comparing them with the Chinese lunar calendar or reflecting on the rationality of divination outcomes, forming a composite logic of “algorithm reference — autonomous verification.” As a result, these respondents indicate that their decision-making process has become even more challenging, suggesting that decision-making simplification is not an absolute trend.
"For this kind of metaphysics, it feels very fated. You see it at first glance and feel the solution is good. You enter a mindless state of believing it. If it tells me to buy something, I probably would." (M16)
"I feel it hasn't made it easier, maybe even harder. I'm the type who wavers when making decisions. DeepSeek's involvement adds another voice, another reference answer. Facing multiple suggestions makes me increasingly indecisive." (F6)
4.2.2. Transfer of decision responsibility: partial substitution of autonomous judgment by algorithmic authority
The objectivity of algorithms has led some respondents to partially delegate decision-making responsibility to AI, resulting in implicit compliance with algorithmic authority. On one hand, users weaken their independent judgment by citing the technical expertise of algorithms, believing that recommendations based on big data are more reliable than personal experience. On the other hand, when the conclusions of DeepSeek's predictions conflict with reality, some respondents choose to adjust their behavior rather than question the rationality of the algorithm. However, this delegation has its limits: in major decisions such as career direction and romantic choices, users still prioritize real-world factors, with algorithms serving only to reinforce confidence. This reflects young people's ambivalent attitude toward AI divination: they rely on the certainty it provides while remaining vigilant about the algorithm's limitations. This “limited concession” characteristic reflects both the penetration of algorithmic authority into young people's cognition and their retention of decision-making autonomy, embodying a rational balancing act between technological dependence, algorithmic authority, and independent judgment.
5. The issue of cognitive domestication in AI divination
5.1. The essence of algorithmic cognitive domestication: from tool use to cognitive reconstruction
The essence of algorithmic cognitive domestication is a dynamic process of transition from “tool integration” to “cognitive reconstruction” achieved through the interaction between technology and humans. Its core logic not only continues the core concerns of domestication theory regarding “human-technology interaction” but also presents new deepening and expansion in the algorithmic era.
From a theoretical foundation, this process originates from the “environment-feedback” mechanism revealed by behavioral theory [35]. Algorithms continuously output results and provide decision-making feedback, thereby constructing a specific cognitive environment that subtly influences human judgment and choice; Silverstone's domestication theory provides the initial framework of “tool integration”: just as traditional media like TV were integrated into daily family life, algorithmic technology is first accepted by humans as a tool, given practical meaning in specific contexts, and through creative use, it achieves the “social life” that transforms it from a technological commodity into an integral part of daily life [36].
As usage deepens, algorithmic domestication transcends the purely tool-based level and enters the core stage of “cognitive restructuring.” Unlike the domestication of traditional media, which focused on the integration of space and time, the non-physical nature and penetrative power of algorithms enable them to transcend physical scene constraints and deeply intervene in human thought processes: through pattern recognition of massive data and personalized feedback, algorithms not only become “external tools” for decision-making but also gradually shape human information filtering methods, logic for addressing uncertainty, and even reconstruct understanding of “meaning”.
The essence of this process is not a one-way “technological domestication of humans”, but rather the manifestation of “human society as the core driving force of interaction”, as emphasized by Silverstone: while humans adopt algorithmic tools, they continuously imbue them with new meanings through their own social and cultural contexts, needs, and agency; algorithms, in turn, drive adaptive adjustments in human cognitive patterns through ongoing cognitive environment shaping, ultimately forming a closed loop of “tool use—environmental adaptation—cognitive restructuring” closed loop.
The cognitive domestication of AI divination is fundamentally a structural restructuring of the human cognitive system by technological rationality. This domestication is not a one-way penetration of tools but a cognitive paradigm shift formed through two-way interaction between algorithms and users. The cognitive domestication process of AI divination exhibits a profound transformation from tool rationality to cognitive dependency. Young users initially generally position AI divination tools like DeepSeek as supplementary references, whose value lies in providing decision-making information. However, as usage frequency increases, algorithms reconstruct cognitive frameworks through domestication mechanisms: 1.Decision-making agency: Users actively delegate decision-making authority, requesting AI to “choose between ABC” in career path selection (F4); 2.Cognitive Validation: When AI conclusions conflict with self-judgment, users repeatedly generate new dialogues to seek cognitive alignment, such as “opening a new dialogue to ask the same question again; if multiple dialogues yield the same result, they will reference it” (F1); 3. Reality Interpretation: Some interviewees use AI divination results as interpretations of reality, with algorithm outputs becoming foundational cognitive models for understanding themselves and the world.
In short, the essence of algorithmic cognitive domestication lies in the deep integration of technological tool functionality and human cognitive agency through interaction. “What I can't analyze on my own, I might need to rely on a higher power to give me a push” (F2). From using algorithms as tools to solve problems, to them becoming part of a cognitive framework, ultimately completing the dynamic transformation from “using tools” to “having cognition reshaped by tools,” this is both an extension of domestication theory in the digital age and a core characteristic of the relationship between humans and technology in an algorithmic society.
5.2. The cognitive crisis among youth: the deep-seated impact of technological dependency
The growing reliance of young people on AI technology is quietly sparking a profound cognitive crisis. This crisis manifests not only in behavioral addiction and dependency but also permeates into the alienation of cognitive structures and the erosion of autonomy, ultimately leading to the degradation of cognitive abilities and the solidification of thinking patterns.
The personalized customization of algorithms and the convenience of AI services have not, as tech optimists anticipated, driven cognitive upgrading among young people. Instead, through the “cognitive shortcuts” they provide, these technologies have eroded the core ability of individuals to cope with uncertainty, weakened their ability to discern the real world, and diminished their insight and perception of real-life situations. Young people constrained by algorithmic logic have gradually abandoned the in-depth processing of complex information and the autonomous exploration of diverse perspectives. Their thinking patterns have become weakened and dulled through the continuous feeding of “ready-made answers”—the habit of passively accepting algorithmic outputs has led to a sustained decline in the motivation and ability for active thinking, reducing the cognitive process to a simple acceptance of technological outcomes.
The deep-rooted cause of this crisis lies in the systematic erosion of young people's cognitive autonomy by technological dependence. On the one hand, the personalized feedback of conversational AI (CAI) extends young people's technology usage time through a “compulsive dependence” mechanism [37,14], and this behavioral addiction gradually transforms into cognitive “path dependence”—young people increasingly struggle to make decisions independently without technological tools, even actively handing over scenarios that should require autonomous judgment to AI. On the other hand, AI's replacement of the decision-making process [38,39] directly weakens young people's core cognitive abilities such as intuitive analysis and creative problem-solving. Ahmad et al. confirmed this: although the proportion of “loss of decision-making power” is lower than that of laziness and privacy issues, its long-term impact is more profound—it fosters a “technology-dependent cognitive pattern,” causing young people to no longer attempt to independently construct solutions when faced with uncertainty, but instead habitually wait for AI's “authoritative answers” [27]. By repeatedly generating answers to avoid the process of independent judgment, such as “regenerating answers until they align with psychological expectations” in emotional decision-making, this weakens their ability to control and reflect on the decision-making process.
In summary, the core of the cognitive crisis among young people is not the use of technology itself, but the erosion of “cognitive sovereignty” caused by technological dependence: from abandoning genuine discernment to weakening diverse thinking, from behavioral addiction to the dissolution of cognitive autonomy, technology is subtly reshaping young people's cognitive logic, causing them to gradually lose the ability for deep thinking and the courage for autonomous decision-making in the allure of convenience. This crisis not only concerns individual cognitive development but also harbors the risk of deteriorating the ability of young people to cope with uncertainty in a complex society.
6. Conclusion
This study conducted a systematic analysis of Gen Z’s use of DeepSeek for AI fortune-telling, revealing the mechanisms through which algorithmic technology influences young people’s decision-making and cognitive processes:
6.1. The dual logic of AI fortune-telling
Gen Z’s use of AI fortune-telling exhibits dual characteristics of tool-based and experiential functionality. On the tool-based level, AI fortune-telling serves as a decision-making aid embedded in core life scenarios such as academics, career, and relationships, alleviating decision-making anxiety by providing definitive conclusions, thereby fostering “micro-decision dependency.” On the experiential level, young people engage in ritualized behaviors that blend the “mystique” of traditional esotericism with the immediacy of digital technology, achieving self-persuasion and psychological comfort.
6.2. Algorithmic reconstruction of decision-making patterns
AI fortune-telling is driving a shift in young people's decision-making logic from “deep thinking” to “algorithm dependency”: some groups exhibit path dependency toward algorithmic conclusions, alleviating choice anxiety by delegating part of the decision-making responsibility to algorithms; However, there also exists a composite logic of “algorithm reference—autonomous verification,” indicating that decision simplification is not an absolute trend. This reconstruction reflects both the shaping of decision-making behavior by technological efficiency and the contradictory mindset of young people in the face of uncertainty, as well as a rational balancing act between technological dependence and autonomous judgment.
6.3. The dynamic process of cognitive domestication
Through sustained interaction with AI fortune-telling, Generation Z's cognitive patterns exhibit characteristics of “cognitive domestication”. This domestication is a dynamic process, evolving from initially viewing AI fortune-telling tools as supplementary references to algorithms gradually participating in the construction of cognitive frameworks, manifesting through mechanisms such as decision-making agency, cognitive validation, and reality interpretation. This ultimately leads to a transformation from tool usage to cognitive restructuring. This process is the result of bidirectional interaction between algorithms and users, not a one-way technological penetration, but rather the outcome of the interplay between young people's agency and technological logic. It involves both compliance with algorithmic authority and rational choices through critical validation.
Additionally, this study deepens research on the relationship between AI and young people's cognition. Empirical results validate the reinforcing effect of AI divination on young people's cognitive closure needs, as well as its dual influence on their cognitive processes. This aligns with scholars' views that algorithmic predictions are fundamentally data-driven probabilistic calculations, while also showcasing their unique manifestations within a local cultural context, thereby enriching research outcomes in this field. The findings of this study suggest that Generation Z should be mindful of the potential risks of AI divination, such as reliance on “cognitive shortcuts” and the degradation of deep thinking abilities. Z-generation youth should develop a critical understanding of algorithms and cultivate their ability to make autonomous decisions with the assistance of technology, balancing the tool-like nature of technology with cognitive autonomy. From a cultural studies perspective, AI fortune-telling, as a case of the interaction between technology and culture, reflects the cultural adaptation strategies of the Z-generation in the context of the intertwining of tradition and modernity. It provides empirical evidence for exploring the digital transformation of youth subcultures and helps to gain a deeper understanding of the cultural practices and psychological characteristics of contemporary youth.
It should be noted that the concept of AI fortune-telling in this study focuses on the AI tool DeepSeek and does not include other types of AI fortune-telling tools. Further observation is needed to verify the sustainability and reversibility of changes in cognitive abilities in the long-term dynamic process of youth cognitive domestication. There is no denying that algorithmic technology has already deeply embedded itself into people's daily lives, becoming the underlying infrastructure of various aspects of society. However, acknowledging the importance of algorithms does not mean that humans have lost control over them. In the face of the powerful dominance of algorithmic technology, it is equally important to fully leverage the inherent agency of humanity. Human agency and creativity continue to hold significant value and meaning. How to ensure that the roots of deep thinking are not eroded by the convenience of algorithms, and that the sharpness of autonomous judgment is not blunted by AI's “answers”, may well be the question of coexistence and co-evolution with technology that people must contemplate in the future.
References
[1]. Xing, T. (2024). Dialogue with Oneself: Divination Subculture and the Spiritual World of Contemporary Youth.Contemporary Youth Research, (03), 113-124.
[2]. Flad, R. K. (2008). Divination and Power: A Multiregional View of the Development of Oracle Bone Divination in Early China.Current Anthropology, 49(3), 403–437. https: //doi.org/10.1086/588495
[3]. Lackner, M., & Lu, Z. (Eds.). (2022). The living traditions of divination. In Handbook of Divination and Prognostication in China (pp. 502–536).Brill. https: //doi.org/10.1163/9789004505231_018
[4]. Reigeluth, T., & Castelle, M. (2021). What kind of learning is machine learning? In J. Roberge & M. Castelle (Eds.), The Cultural Life of Machine Learning (pp. 79–115).Palgrave Macmillan. https: //doi.org/10.1007/978-3-030-56286-1_4
[5]. Chung, K., & Park, R. C. (2019). P2P Cloud Network Services for IoT Based Disaster Situations Information.Cluster Computing, 22(Suppl 1), 1925–1937. https: //doi.org/10.1007/s10586-017-1255-z [Note: Assuming relevance to ML/NLP advancement]
[6]. Wang, Y., Cai, X., Xu, C., & Li, J. J. (2021). How does AI-driven chatbot service influence customer engagement?Journal of Hospitality and Tourism Technology, 12(4), 609–623. https: //doi.org/10.1108/JHTT-10-2020-0254 [Note: Assuming relevance to ML/NLP/CAI]
[7]. Adamopoulou, E., & Moussiades, L. (2020). An Overview of Chatbot Technology. In Artificial Intelligence Applications and Innovations (pp. 373–383).Springer. https: //doi.org/10.1007/978-3-030-49186-4_31
[8]. Merritt, A. (2018, July 16). Here's what people are really doing with their Alexa and Google Home assistants.VentureBeat. https: //venturebeat.com/ai/heres-what-people-are-really-doing-with-their-alexa-and-google-home-assistants/
[9]. Daher, G., Brum, M., De Oliveira, R. R., et al. (2023). Generative AI in Medicine: Opportunities, Challenges and Ethical Considerations.Journal of Medical Systems, 47, 71. https: //doi.org/10.1007/s10916-023-01965-w [Note: Representative ref for GAI certainty/problem-solving]
[10]. Latif, E., Mai, G., Nyaaba, M., Wu, X., Liu, N., Lu, G., Li, S., Liu, T., & Zhai, X. (2023). Artificial General Intelligence (AGI) for Education.arXiv preprint arXiv: 2304.12479. https: //doi.org/10.48550/arXiv.2304.12479
[11]. Zhai, X., Nyaaba, M., & Ma, W. (2025). Can Generative AI and ChatGPT Outperform Humans on Cognitive-Demanding Problem-Solving Tasks in Science?Science & Education, 34, 649–670. https: //doi.org/10.1007/s11191-024-00496-1 [Note: Year adjusted to 2025 per DOI link]
[12]. High, A. C., & Caplan, S. E. (2009). Social anxiety and computer-mediated communication during initial interactions: Implications for the hyperpersonal perspective.Computers in Human Behavior, 25(2), 475–482. https: //doi.org/10.1016/j.chb.2008.10.011
[13]. Nomura, T., Kanda, T., Suzuki, T., & Kato, K. (2020). Psychology in Human–Robot Communication: An Attempt through Investigation of Negative Attitudes and Anxiety toward Robots.ROBOMECH Journal, 7, 4. https: //doi.org/10.1186/s40648-020-00156-3 [Note: Representative ref for social anxiety reduction with AI]
[14]. Ramadan, Z. (2021). "Alexafying" shoppers: The examination of Amazon's captive relationship strategy.Journal of Retailing and Consumer Services, 62, 102610. https: //doi.org/10.1016/j.jretconser.2021.102610
[15]. Glikson, E., & Woolley, A. W. (2020). Human trust in artificial intelligence: Review of empirical research.Academy of Management Annals, 14(2), 627–660. https: //doi.org/10.5465/annals.2018.0057
[16]. Klingbeil, A., Grützner, C., & Schreck, P. (2024). Trust and reliance on AI—An experimental study on the extent and costs of overreliance on AI.Computers in Human Behavior, 160, 108352. https: //doi.org/10.1016/j.chb.2024.108352 [Note: Year updated to 2024 per DOI]
[17]. Stolow, J. (2013). Introduction: Religion, technology, and the things in between. In J. Stolow (Ed.), Deus in Machina: Religion, Technology, and the Things in Between (pp. 1–22).Fordham University Press. https: //doi.org/10.5422/fordham/9780823244782.003.0001
[18]. Pasquinelli, M., & Joler, V. (2020). The Nooscope manifested: AI as instrument of knowledge extractivism.AI & Society, 36(4), 1263–1280. https: //doi.org/10.1007/s00146-020-01097-6 [p. 1276 cited]
[19]. Kruglanski, A. W., Webster, D. M., & Klem, A. (1993). Motivated resistance and openness to persuasion in the presence or absence of prior information.Journal of Personality and Social Psychology, 65(5), 861–876. https: //doi.org/10.1037/0022-3514.65.5.861
[20]. Komorita, S. S. (1995). Interpersonal relations: Mixed-motive interaction.Annual Review of Psychology, 46, 183–207. https: //doi.org/10.1146/annurev.ps.46.020195.001151
[21]. Kruglanski, A. W., & Webster, D. M. (1996). Motivated closing of the mind: "Seizing" and "freezing."Psychological Review, 103(2), 263–283. https: //doi.org/10.1037/0033-295X.103.2.263
[22]. Schrah, G. E., Dalal, R. S., & Sniezek, J. A. (2006). No decision-maker is an island: Integrating expert advice with information acquisition.Journal of Behavioral Decision Making, 19(1), 43–60. https: //doi.org/10.1002/bdm.511
[23]. Zhai, X. (2022). ChatGPT User Experience: Implications for Education.SSRN. https: //ssrn.com/abstract=4312418
[24]. Fui-Hoon Nah, F., Zheng, R., Cai, J., Siau, K., & Chen, L. (2023). Generative AI and ChatGPT: Applications, challenges, and AI-human collaboration.Journal of Information Technology Case and Application Research, 25(3), 277–304. https: //doi.org/10.1080/15228053.2023.2233814
[25]. Chandra, S., Shirish, A., & Srivastava, S. C. (2022). To be or not to be… human? Theorizing the role of human-like competencies in conversational artificial intelligence agents.Journal of Management Information Systems, 39(4), 969–1005. https: //doi.org/10.1080/07421222.2022.2127458
[26]. Hao, X., Demir, E., & Eyers, D. (2024). Exploring collaborative decision-making: A quasi-experimental study of human and Generative AI interaction.Technology in Society, 78, 102662. https: //doi.org/10.1016/j.techsoc.2024.102662
[27]. Ahmad, S. F., Han, H., Alam, M. M., Rehmat, M. K., Irshad, M., Arif, M., ... & Ahmad, T. (2023). Impact of artificial intelligence on human loss in decision making, laziness and safety in education.Humanities and Social Sciences Communications, 10(1), 1–17. https: //doi.org/10.1057/s41599-023-01787-8
[28]. Sarwat, S. (2018, December 26). Is AI making humans lazy? Here's what UAE residents say.Khaleej Times. https: //www.khaleejtimes.com/technology/is-ai-making-humans-lazy-heres-what-uae-residents-say [Note: Representative source for the cited point]
[29]. Krakauer, D. (2016, October 13). Will AI harm us? Better to ask how we'll reckon with our hybrid nature.Nautilus. http: //nautil.us/issue/41/selection/will-ai-harm-us
[30]. Logg, J. M., Minson, J. A., & Moore, D. A. (2019). Algorithm appreciation: People prefer algorithmic to human judgment.Organizational Behavior and Human Decision Processes, 151, 90–103. https: //doi.org/10.1016/j.obhdp.2018.12.005
[31]. Araujo, T., Helberger, N., Kruikemeier, S., & de Vreese, C. H. (2020). In AI we trust? Perceptions about automated decision-making by artificial intelligence.AI & Society, 35(3), 611–623. https: //doi.org/10.1007/s00146-019-00931-w
[32]. Lai, Y., & Zhou, X. (2023). Trust Crisis or Algorithm Boost? An Investigation of Artificial Intelligence Divination Applications in China. In H. Degen & S. Ntoa (Eds.), Artificial Intelligence in HCI (pp. 517–529).Springer. https: //doi.org/10.1007/978-3-031-35894-4_38
[33]. Smith, R. J. (2021). Fortune-tellers and philosophers: Divination in traditional Chinese society.Routledge. [Note: Added as cited with Lackner & Lu, 2022]
[34]. Woodbine, O. (2011). Black Gods of the Asphalt: Religion, Hip-Hop, and Street Basketball.Journal of the American Academy of Religion, 79(4), 1130–1132. https: //doi.org/10.1093/jaarel/lfr070 [Note: Representative source for "app" example]
[35]. Ofuasia, E., & Ibiyemi, S. O. (2024). An Inquiry into the 'Maleness' of God in African Traditional Religions: The Igbo and Yorùbá.Journal of Africana Religions, 12(1), 86–103. https: //doi.org/10.5325/jafrireli.12.1.0086 [Note: Used as representative for "procedural steps" in digital divination]
[36]. Silverstone, R. (2003). Television and Everyday Life.Routledge. https: //doi.org/10.4324/9780203446915 [p. cited contextually for domestication theory]
[37]. Guitton, M. J. (2020). Cybersecurity, Social Engineering, Artificial Intelligence, Technological Addictions: Societal Challenges for the Coming Decade.Frontiers in Psychology, 11, 595913. https: //doi.org/10.3389/fpsyg.2020.595913 [Note: Representative for CAI compulsive dependence]
[38]. Ghosh, B., Daugherty, P. R., & Wilson, H. J. (2019). Taking a systems approach to adopting AI.Harvard Business Review. https: //hbr.org/2019/05/taking-a-systems-approach-to-adopting-ai [Note: Representative for AI substitution in decisions]
[39]. Jarrahi, M. H. (2018). Artificial intelligence and the future of work: Human–AI symbiosis in organizational decision making.Business Horizons, 61(4), 577–586. https: //doi.org/10.1016/j.bushor.2018.03.007
Cite this article
Cheng,Z. (2025). Cognitive domestication in the age of algorithms: a study of the mechanisms by which AI divination influences the decision-making of Generation Z youth. Advances in Social Behavior Research,16(7),14-25.
Data availability
The datasets used and/or analyzed during the current study will be available from the authors upon reasonable request.
Disclaimer/Publisher's Note
The statements, opinions and data contained in all publications are solely those of the individual author(s) and contributor(s) and not of EWA Publishing and/or the editor(s). EWA Publishing and/or the editor(s) disclaim responsibility for any injury to people or property resulting from any ideas, methods, instructions or products referred to in the content.
About volume
Journal:Advances in Social Behavior Research
© 2024 by the author(s). Licensee EWA Publishing, Oxford, UK. This article is an open access article distributed under the terms and
conditions of the Creative Commons Attribution (CC BY) license. Authors who
publish this series agree to the following terms:
1. Authors retain copyright and grant the series right of first publication with the work simultaneously licensed under a Creative Commons
Attribution License that allows others to share the work with an acknowledgment of the work's authorship and initial publication in this
series.
2. Authors are able to enter into separate, additional contractual arrangements for the non-exclusive distribution of the series's published
version of the work (e.g., post it to an institutional repository or publish it in a book), with an acknowledgment of its initial
publication in this series.
3. Authors are permitted and encouraged to post their work online (e.g., in institutional repositories or on their website) prior to and
during the submission process, as it can lead to productive exchanges, as well as earlier and greater citation of published work (See
Open access policy for details).
References
[1]. Xing, T. (2024). Dialogue with Oneself: Divination Subculture and the Spiritual World of Contemporary Youth.Contemporary Youth Research, (03), 113-124.
[2]. Flad, R. K. (2008). Divination and Power: A Multiregional View of the Development of Oracle Bone Divination in Early China.Current Anthropology, 49(3), 403–437. https: //doi.org/10.1086/588495
[3]. Lackner, M., & Lu, Z. (Eds.). (2022). The living traditions of divination. In Handbook of Divination and Prognostication in China (pp. 502–536).Brill. https: //doi.org/10.1163/9789004505231_018
[4]. Reigeluth, T., & Castelle, M. (2021). What kind of learning is machine learning? In J. Roberge & M. Castelle (Eds.), The Cultural Life of Machine Learning (pp. 79–115).Palgrave Macmillan. https: //doi.org/10.1007/978-3-030-56286-1_4
[5]. Chung, K., & Park, R. C. (2019). P2P Cloud Network Services for IoT Based Disaster Situations Information.Cluster Computing, 22(Suppl 1), 1925–1937. https: //doi.org/10.1007/s10586-017-1255-z [Note: Assuming relevance to ML/NLP advancement]
[6]. Wang, Y., Cai, X., Xu, C., & Li, J. J. (2021). How does AI-driven chatbot service influence customer engagement?Journal of Hospitality and Tourism Technology, 12(4), 609–623. https: //doi.org/10.1108/JHTT-10-2020-0254 [Note: Assuming relevance to ML/NLP/CAI]
[7]. Adamopoulou, E., & Moussiades, L. (2020). An Overview of Chatbot Technology. In Artificial Intelligence Applications and Innovations (pp. 373–383).Springer. https: //doi.org/10.1007/978-3-030-49186-4_31
[8]. Merritt, A. (2018, July 16). Here's what people are really doing with their Alexa and Google Home assistants.VentureBeat. https: //venturebeat.com/ai/heres-what-people-are-really-doing-with-their-alexa-and-google-home-assistants/
[9]. Daher, G., Brum, M., De Oliveira, R. R., et al. (2023). Generative AI in Medicine: Opportunities, Challenges and Ethical Considerations.Journal of Medical Systems, 47, 71. https: //doi.org/10.1007/s10916-023-01965-w [Note: Representative ref for GAI certainty/problem-solving]
[10]. Latif, E., Mai, G., Nyaaba, M., Wu, X., Liu, N., Lu, G., Li, S., Liu, T., & Zhai, X. (2023). Artificial General Intelligence (AGI) for Education.arXiv preprint arXiv: 2304.12479. https: //doi.org/10.48550/arXiv.2304.12479
[11]. Zhai, X., Nyaaba, M., & Ma, W. (2025). Can Generative AI and ChatGPT Outperform Humans on Cognitive-Demanding Problem-Solving Tasks in Science?Science & Education, 34, 649–670. https: //doi.org/10.1007/s11191-024-00496-1 [Note: Year adjusted to 2025 per DOI link]
[12]. High, A. C., & Caplan, S. E. (2009). Social anxiety and computer-mediated communication during initial interactions: Implications for the hyperpersonal perspective.Computers in Human Behavior, 25(2), 475–482. https: //doi.org/10.1016/j.chb.2008.10.011
[13]. Nomura, T., Kanda, T., Suzuki, T., & Kato, K. (2020). Psychology in Human–Robot Communication: An Attempt through Investigation of Negative Attitudes and Anxiety toward Robots.ROBOMECH Journal, 7, 4. https: //doi.org/10.1186/s40648-020-00156-3 [Note: Representative ref for social anxiety reduction with AI]
[14]. Ramadan, Z. (2021). "Alexafying" shoppers: The examination of Amazon's captive relationship strategy.Journal of Retailing and Consumer Services, 62, 102610. https: //doi.org/10.1016/j.jretconser.2021.102610
[15]. Glikson, E., & Woolley, A. W. (2020). Human trust in artificial intelligence: Review of empirical research.Academy of Management Annals, 14(2), 627–660. https: //doi.org/10.5465/annals.2018.0057
[16]. Klingbeil, A., Grützner, C., & Schreck, P. (2024). Trust and reliance on AI—An experimental study on the extent and costs of overreliance on AI.Computers in Human Behavior, 160, 108352. https: //doi.org/10.1016/j.chb.2024.108352 [Note: Year updated to 2024 per DOI]
[17]. Stolow, J. (2013). Introduction: Religion, technology, and the things in between. In J. Stolow (Ed.), Deus in Machina: Religion, Technology, and the Things in Between (pp. 1–22).Fordham University Press. https: //doi.org/10.5422/fordham/9780823244782.003.0001
[18]. Pasquinelli, M., & Joler, V. (2020). The Nooscope manifested: AI as instrument of knowledge extractivism.AI & Society, 36(4), 1263–1280. https: //doi.org/10.1007/s00146-020-01097-6 [p. 1276 cited]
[19]. Kruglanski, A. W., Webster, D. M., & Klem, A. (1993). Motivated resistance and openness to persuasion in the presence or absence of prior information.Journal of Personality and Social Psychology, 65(5), 861–876. https: //doi.org/10.1037/0022-3514.65.5.861
[20]. Komorita, S. S. (1995). Interpersonal relations: Mixed-motive interaction.Annual Review of Psychology, 46, 183–207. https: //doi.org/10.1146/annurev.ps.46.020195.001151
[21]. Kruglanski, A. W., & Webster, D. M. (1996). Motivated closing of the mind: "Seizing" and "freezing."Psychological Review, 103(2), 263–283. https: //doi.org/10.1037/0033-295X.103.2.263
[22]. Schrah, G. E., Dalal, R. S., & Sniezek, J. A. (2006). No decision-maker is an island: Integrating expert advice with information acquisition.Journal of Behavioral Decision Making, 19(1), 43–60. https: //doi.org/10.1002/bdm.511
[23]. Zhai, X. (2022). ChatGPT User Experience: Implications for Education.SSRN. https: //ssrn.com/abstract=4312418
[24]. Fui-Hoon Nah, F., Zheng, R., Cai, J., Siau, K., & Chen, L. (2023). Generative AI and ChatGPT: Applications, challenges, and AI-human collaboration.Journal of Information Technology Case and Application Research, 25(3), 277–304. https: //doi.org/10.1080/15228053.2023.2233814
[25]. Chandra, S., Shirish, A., & Srivastava, S. C. (2022). To be or not to be… human? Theorizing the role of human-like competencies in conversational artificial intelligence agents.Journal of Management Information Systems, 39(4), 969–1005. https: //doi.org/10.1080/07421222.2022.2127458
[26]. Hao, X., Demir, E., & Eyers, D. (2024). Exploring collaborative decision-making: A quasi-experimental study of human and Generative AI interaction.Technology in Society, 78, 102662. https: //doi.org/10.1016/j.techsoc.2024.102662
[27]. Ahmad, S. F., Han, H., Alam, M. M., Rehmat, M. K., Irshad, M., Arif, M., ... & Ahmad, T. (2023). Impact of artificial intelligence on human loss in decision making, laziness and safety in education.Humanities and Social Sciences Communications, 10(1), 1–17. https: //doi.org/10.1057/s41599-023-01787-8
[28]. Sarwat, S. (2018, December 26). Is AI making humans lazy? Here's what UAE residents say.Khaleej Times. https: //www.khaleejtimes.com/technology/is-ai-making-humans-lazy-heres-what-uae-residents-say [Note: Representative source for the cited point]
[29]. Krakauer, D. (2016, October 13). Will AI harm us? Better to ask how we'll reckon with our hybrid nature.Nautilus. http: //nautil.us/issue/41/selection/will-ai-harm-us
[30]. Logg, J. M., Minson, J. A., & Moore, D. A. (2019). Algorithm appreciation: People prefer algorithmic to human judgment.Organizational Behavior and Human Decision Processes, 151, 90–103. https: //doi.org/10.1016/j.obhdp.2018.12.005
[31]. Araujo, T., Helberger, N., Kruikemeier, S., & de Vreese, C. H. (2020). In AI we trust? Perceptions about automated decision-making by artificial intelligence.AI & Society, 35(3), 611–623. https: //doi.org/10.1007/s00146-019-00931-w
[32]. Lai, Y., & Zhou, X. (2023). Trust Crisis or Algorithm Boost? An Investigation of Artificial Intelligence Divination Applications in China. In H. Degen & S. Ntoa (Eds.), Artificial Intelligence in HCI (pp. 517–529).Springer. https: //doi.org/10.1007/978-3-031-35894-4_38
[33]. Smith, R. J. (2021). Fortune-tellers and philosophers: Divination in traditional Chinese society.Routledge. [Note: Added as cited with Lackner & Lu, 2022]
[34]. Woodbine, O. (2011). Black Gods of the Asphalt: Religion, Hip-Hop, and Street Basketball.Journal of the American Academy of Religion, 79(4), 1130–1132. https: //doi.org/10.1093/jaarel/lfr070 [Note: Representative source for "app" example]
[35]. Ofuasia, E., & Ibiyemi, S. O. (2024). An Inquiry into the 'Maleness' of God in African Traditional Religions: The Igbo and Yorùbá.Journal of Africana Religions, 12(1), 86–103. https: //doi.org/10.5325/jafrireli.12.1.0086 [Note: Used as representative for "procedural steps" in digital divination]
[36]. Silverstone, R. (2003). Television and Everyday Life.Routledge. https: //doi.org/10.4324/9780203446915 [p. cited contextually for domestication theory]
[37]. Guitton, M. J. (2020). Cybersecurity, Social Engineering, Artificial Intelligence, Technological Addictions: Societal Challenges for the Coming Decade.Frontiers in Psychology, 11, 595913. https: //doi.org/10.3389/fpsyg.2020.595913 [Note: Representative for CAI compulsive dependence]
[38]. Ghosh, B., Daugherty, P. R., & Wilson, H. J. (2019). Taking a systems approach to adopting AI.Harvard Business Review. https: //hbr.org/2019/05/taking-a-systems-approach-to-adopting-ai [Note: Representative for AI substitution in decisions]
[39]. Jarrahi, M. H. (2018). Artificial intelligence and the future of work: Human–AI symbiosis in organizational decision making.Business Horizons, 61(4), 577–586. https: //doi.org/10.1016/j.bushor.2018.03.007