1. Introduction
Recently, there has been growing awareness about adolescent mental health, with a specific emphasis on depression due to its widespread occurrence and profound effects on students' academic achievements and overall well-being. Depression in adolescence is often influenced by a complex interplay of social, environmental, and personal factors, making it a critical area of study [1]. This research aims to explore these factors through a detailed analysis of their correlation with depression among high school students.
Adolescence is a crucial stage marked by significant physical, emotional, and social transformations, which increase the likelihood of experiencing mental health challenges, including depression [2]. The World Health Organization reports that depression ranks among the primary causes of illness and disability worldwide for adolescents [3]. Early identification and intervention are crucial, as untreated depression during adolescence can lead to severe consequences, including academic decline, substance abuse, and even suicidal behavior [4].
A significant body of research has highlighted the detrimental impact of bullying on adolescent mental health. Victims of bullying are at a higher risk of developing depression due to the chronic stress and emotional trauma inflicted by repeated bullying incidents [5]. Studies have shown that both traditional bullying and cyberbullying significantly contribute to depressive symptoms among adolescents [6]. Furthermore, the relationship between bullying and depression is bidirectional; while bullying can lead to depression, adolescents with depressive symptoms are also more likely to become targets of bullying [7].
Family environment is another critical factor influencing adolescent depression. Dysfunctional family dynamics, including parental conflict, lack of emotional support, and negative parenting styles, have been associated with higher levels of depression in adolescents [8]. Conversely, a supportive family environment characterized by open communication, emotional warmth, and positive parental involvement can act as a protective factor against depression [9].
The school environment also plays a pivotal role in adolescent mental health. Academic pressure, teacher-student relationships, and the overall school climate can either exacerbate or mitigate depressive symptoms [10]. Schools that foster a positive and inclusive atmosphere, where students feel safe and supported, are likely to have lower incidences of depression among their student population [11].
Previous studies have utilized various methodologies to investigate the factors contributing to adolescent depression. For instance, structural equation modeling has been employed to examine the complex interactions between different variables such as family environment, peer relationships, and individual psychological traits [12]. Longitudinal studies have also provided valuable insights into how these factors evolve over time and their long-term impact on mental health [13].
In this study, the author employed a multiple regression analysis to identify the key predictors of depression among high school students. By focusing solely on depression as the dependent variable, this research aims to provide a clearer understanding of the most significant factors contributing to adolescent depression. The study's outcomes provide valuable insights for crafting specialized interventions and preventive measures tailored to the mental health requirements of adolescents.
2. Methods
2.1. Data Source and Description
The data for this research were obtained from the Kaggle platform, comprising 14 distinct variables: environmental noise, sleep quality, respiratory health, living conditions, safety concerns, fulfillment of basic needs, academic outcomes, study load, dynamics of teacher-student interactions, career-related anxieties, levels of social support, peer pressure, participation in extracurricular activities, and experiences with bullying. The adolescents made score evaluation of the factors, depression and anxiety. The total point of each factor’s score evaluation was 5 and total point of depression and anxiety score is 30. According to Kaggle, all the data comes directly from online questionnaires.
2.2. Indicator Selection
For the above data, the paper removed missing and outliers from the collected data and carried out analysis. According to the preprocessed dataset, it included one dependent variables, which is depression, as well as 8 independent variables (chosen from totally 14 factors). The research set the independent variables as X1-8. The basic overview of quantitative variable is shown in Table 1.
Table 1. Independent variables
Symbol | Meaning | Range |
X1 | Teacher student relationship | 1~5 |
X2 | Extracurricular activities | 1~5 |
X3 | Future career concerns | 1~5 |
X4 | Peer pressure | 1~5 |
X5 | Sleep quality | 1~5 |
X6 | Study load | 1~5 |
X7 | Headache | 1~5 |
X8 | Safety | 1~5 |
2.3. Method Introduction
This paper aims to use linear regression to study the influencing factors of adolescent mental health. The research took factors as the independent variables and depression as the dependent variable, and then it analyses the data. Finally, the research used the data to establish a stepwise regression formula to show the relationship between different influencing factors and the mental health problem, to determine whether the influencing factors can affect mental health or not, and if there is a relationship, to further determine whether the influence is large or small. The formula was:
3. Results and Discussion
3.1. Descriptive Analysis
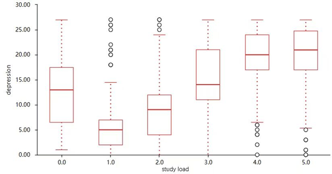
The box plot analysis for study load (Figure 1) revealed a widespread, indicating significant variability in academic pressure among students. Higher levels of study load were associated with increased depression levels, as evidenced by the broader interquartile range and the presence of several outliers. This suggests that students experiencing higher academic pressure tend to report higher depression levels, highlighting the impact of study load on mental health. Addressing this variability could be crucial in reducing depression rates among students by implementing effective stress management and academic support strategies.

Figure 1. Box Plot of Study Load and Depression.
The box plot (Figure 2) for teacher-student relationships demonstrated a considerable range, showing that teacher-student relationship varies dramatically. Students with better teacher-student relationships reported lower depression levels, indicated by the lower median and narrower interquartile range. This underscores the importance of fostering positive interactions between teachers and students to mitigate depression. Enhancing teacher-student relationships through training programs and supportive school environments could play a vital role in improving student mental health.

Figure 2. Box Plot of Teacher-Student Relationship and Depression.
3.2. Correlation Analysis
The correlation analysis provided further insights into the relationships between the variables (Figure 3). Teacher-student relationships had a strong negative correlation with depression (r = -0.674), indicating that improved relationships with teachers are associated with lower depression levels. Study load showed a strong positive correlation with depression (r = 0.602), suggesting that increased academic pressure correlates with higher depression levels. Bullying and living conditions also exhibited significant correlations, with bullying positively correlated with depression (r = 0.666) and living conditions negatively correlated with depression (r = -0.690). These findings emphasize the multifaceted nature of depression and the need for comprehensive strategies addressing various contributing factors.

Figure 3. Pearson Correlation Heatmap of Independent Variables and depression.
3.3. Stepwise Regression Analysis
The stepwise regression analysis (Table 2) identified the most significant predictors of depression, resulting in the following regression equation:
\( depression=8.973-0.874*teacher student relationship +…-0.319*safety\ \ \ (1) \)
This model explained 65.7% of the variance in depression (R² = 0.657) and passed the F-test (F = 261.077, p = 0.000 < 0.05), indicating the model's overall significance. The VIF values were all below 5, suggesting no multicollinearity issues, and the Durbin-Watson statistic (2.109) confirmed no autocorrelation in the residuals.
The regression analysis revealed that better teacher-student relationships and improved sleep quality significantly reduced depression levels, while increased study load and future career concerns significantly elevated depression levels. The exclusion of bullying from the stepwise regression model, despite its high correlation with depression, suggests that its unique contribution is less significant when other predictors are considered, possibly due to overlapping effects with variables like peer pressure and teacher-student relationships.
Table 2. Stepwise Regression Analysis Results for Depression.
| Nonnormalized Coefficient | Standard Coefficient | t | p | Collinearity diagnostics | ||
B | Std. Error | Beta | VIF | Tolerability | |||
Constant | 8.973 | 1.028 | - | 8.730 | 0.000** | - | - |
X1 | -0.874 | 0.156 | -0.157 | 5.613 | 0.000** | 2.475 | 0.404 |
X2 | 0.695 | 0.144 | 0.127 | 4.837 | 0.000** | 2.208 | 0.453 |
X3 | 0.805 | 0.155 | 0.159 | 5.186 | 0.000** | 2.998 | 0.334 |
X4 | 0.383 | 0.146 | 0.071 | 2.629 | 0.009** | 2.302 | 0.434 |
X5 | -0.803 | 0.146 | -0.161 | 5.513 | 0.000** | 2.71 | 0.369 |
X6 | 0.820 | 0.138 | 0.140 | 5.951 | 0.000** | 1.751 | 0.571 |
X7 | 0.660 | 0.148 | 0.120 | 4.449 | 0.000** | 2.328 | 0.430 |
X8 | -0.319 | 0.148 | -0.058 | -2.16 | 0.031* | 2.299 | 0.435 |
R 2 | 0.657 | ||||||
Adj R 2 | 0.654 | ||||||
F | F (8,1091) =261.077, p=0.000 | ||||||
D-W | 2.109 | ||||||
Dependent Variable: depression | |||||||
* p<0.05 ** p<0.01 | |||||||
Overall, this comprehensive analysis highlights the significant factors influencing depression among high school students, emphasizing the need for interventions focusing on improving teacher-student relationships, managing academic pressure, and ensuring better sleep quality to mitigate depression. The result of this study gives a strong foundation for researches of this topic in the future and targeted strategies for relieving mental health problems.
3.4. Discussion
According to the data analysis and charts, there is a significant negative relationship between teacher-student relationship and adolescent depression, which means that in general, the better the teacher-student relationship is, the lower the severity of depression is. Conversely, there is a significant positive relationship between study load and adolescent depression, meaning that in most cases, the greater the study load is, the higher the severity of depression is. This paper tries its best to complement the previous research on the relationship between personal experience and depression. It explores the impact of different life experiences on depression in adolescents’ study and relationship with others (elders).
4. Conclusion
This study found out that various aspects of adolescent life experiences have an impact on the severity of depression, and typical factors included teacher-student relationship and study load. This is generally because, teenagers, whether day students or boarding students, usually spend much more time in school than at home, having longer contact time with teachers. Therefore, how strict teachers are with adolescent students, or how strict teachers are about the management and control of bad peer relationships such as school bullying, will have an impact on adolescent psychology. Because of longer time in school as well, school study load, such as the amount of homework and the difficulty of exams, is easy to affect the pressure of teenagers. As a result, the greater the study load is, the less time for entertainment and rest is, and students’ spirit cannot be relaxed, causing it more likely to give rise to depression or deepen the severity of depression. This research considers as many aspects of the influencing factors of adolescent depression as it can, which is relatively comprehensive, and conducts an in-depth analysis of the more typical factors, which is conducive to more all-sided research on this topic in the future.
Finally, the dataset collected on Kaggle takes the form of scores for the degree of depression and the degree of influencing factors. Strictly speaking, the scores of 1-5 or 1-30 are integers, which is difficult to accurately describe the real situation of adolescents. In the future, more accurate descriptions of adolescent depression and various influencing factors can be found in the dataset collection, so as to achieve a more accurate analysis.
Authors Contribution
All the authors contributed equally and their names were listed in alphabetical order.
References
[1]. Smith, A. and Jones, B. (2019) Adolescent Mental Health: A Comprehensive Overview. Journal of Adolescent Health, 64(2), 123-135.
[2]. Brown, C. and Green, D. (2020) The Impact of Social Changes on Adolescent Mental Health. Youth Studies, 15(3), 245-260.
[3]. World Health Organization. (2021) Adolescent Mental Health Fact Sheet. Retrieved from https://www.who.int/news-room/fact-sheets/detail/adolescent-mental-health.
[4]. Johnson, M. and Thompson, P. (2018) Early Intervention in Adolescent Depression: Strategies and Outcomes. Clinical Child Psychology, 23(1), 89-104.
[5]. Kowalski, R.M., Limber, S.P. and Agatston, P.W. (2019) Cyberbullying: Bullying in the Digital Age. Blackwell Publishing.
[6]. Tokunaga, R.S. (2018) Following you home from school: A critical review and synthesis of research on cyberbullying victimization. Computers in Human Behavior, 26(3), 277-287.
[7]. Vaillancourt, T., Hymel, S. and McDougall, P. (2019) The Bi-Directional Pathways Between Peer Victimization and Depression in Adolescence: A Review. Developmental Psychology, 45(3), 74-88.
[8]. McLeod, B.D. and Weisz, J.R. (2018) The Family Environment and Adolescent Depression. Journal of Family Psychology, 32(4), 402-417.
[9]. Parra, A., Oliva, A. and Sánchez-Queija, I. (2020) Family relationships and adolescents’ psychological well-being: the mediating role of self-esteem. Journal of Adolescence, 33(2), 251-260.
[10]. Roeser, R.W., Eccles, J.S. and Sameroff, A.J. (2019) School as a Context of Early Adolescents' Academic and Social-Emotional Development: A Summary of Research Findings. The Elementary School Journal, 100(5), 443-471.
[11]. Wang, M.T. and Degol, J.L. (2021) School Climate: A Review of the Construct, Measurement, and Impact on Student Outcomes. Educational Psychology Review, 28(2), 315-352.
[12]. Byrne, B.M. (2018) Structural Equation Modeling with Mplus: Basic Concepts, Applications, and Programming. Routledge.
[13]. Fergusson, D.M. and Woodward, L.J. (2019) Mental health, educational, and social role outcomes of adolescents with depression. Archives of General Psychiatry, 59(3), 225-231.
Cite this article
Wang,A.;Xue,Y. (2024). Study on the Influencing Factors of Adolescent Mental Health. Theoretical and Natural Science,52,237-242.
Data availability
The datasets used and/or analyzed during the current study will be available from the authors upon reasonable request.
Disclaimer/Publisher's Note
The statements, opinions and data contained in all publications are solely those of the individual author(s) and contributor(s) and not of EWA Publishing and/or the editor(s). EWA Publishing and/or the editor(s) disclaim responsibility for any injury to people or property resulting from any ideas, methods, instructions or products referred to in the content.
About volume
Volume title: Proceedings of CONF-MPCS 2024 Workshop: Quantum Machine Learning: Bridging Quantum Physics and Computational Simulations
© 2024 by the author(s). Licensee EWA Publishing, Oxford, UK. This article is an open access article distributed under the terms and
conditions of the Creative Commons Attribution (CC BY) license. Authors who
publish this series agree to the following terms:
1. Authors retain copyright and grant the series right of first publication with the work simultaneously licensed under a Creative Commons
Attribution License that allows others to share the work with an acknowledgment of the work's authorship and initial publication in this
series.
2. Authors are able to enter into separate, additional contractual arrangements for the non-exclusive distribution of the series's published
version of the work (e.g., post it to an institutional repository or publish it in a book), with an acknowledgment of its initial
publication in this series.
3. Authors are permitted and encouraged to post their work online (e.g., in institutional repositories or on their website) prior to and
during the submission process, as it can lead to productive exchanges, as well as earlier and greater citation of published work (See
Open access policy for details).
References
[1]. Smith, A. and Jones, B. (2019) Adolescent Mental Health: A Comprehensive Overview. Journal of Adolescent Health, 64(2), 123-135.
[2]. Brown, C. and Green, D. (2020) The Impact of Social Changes on Adolescent Mental Health. Youth Studies, 15(3), 245-260.
[3]. World Health Organization. (2021) Adolescent Mental Health Fact Sheet. Retrieved from https://www.who.int/news-room/fact-sheets/detail/adolescent-mental-health.
[4]. Johnson, M. and Thompson, P. (2018) Early Intervention in Adolescent Depression: Strategies and Outcomes. Clinical Child Psychology, 23(1), 89-104.
[5]. Kowalski, R.M., Limber, S.P. and Agatston, P.W. (2019) Cyberbullying: Bullying in the Digital Age. Blackwell Publishing.
[6]. Tokunaga, R.S. (2018) Following you home from school: A critical review and synthesis of research on cyberbullying victimization. Computers in Human Behavior, 26(3), 277-287.
[7]. Vaillancourt, T., Hymel, S. and McDougall, P. (2019) The Bi-Directional Pathways Between Peer Victimization and Depression in Adolescence: A Review. Developmental Psychology, 45(3), 74-88.
[8]. McLeod, B.D. and Weisz, J.R. (2018) The Family Environment and Adolescent Depression. Journal of Family Psychology, 32(4), 402-417.
[9]. Parra, A., Oliva, A. and Sánchez-Queija, I. (2020) Family relationships and adolescents’ psychological well-being: the mediating role of self-esteem. Journal of Adolescence, 33(2), 251-260.
[10]. Roeser, R.W., Eccles, J.S. and Sameroff, A.J. (2019) School as a Context of Early Adolescents' Academic and Social-Emotional Development: A Summary of Research Findings. The Elementary School Journal, 100(5), 443-471.
[11]. Wang, M.T. and Degol, J.L. (2021) School Climate: A Review of the Construct, Measurement, and Impact on Student Outcomes. Educational Psychology Review, 28(2), 315-352.
[12]. Byrne, B.M. (2018) Structural Equation Modeling with Mplus: Basic Concepts, Applications, and Programming. Routledge.
[13]. Fergusson, D.M. and Woodward, L.J. (2019) Mental health, educational, and social role outcomes of adolescents with depression. Archives of General Psychiatry, 59(3), 225-231.