1. Introduction
In Quantum Gluon-Plasma (QGP) experiments, two heavy particles are accelerated to high energy and collided to break the bond of nucleons in each particle, which then leads to a brief QGP state. In common QGP experiments, some simple configurations, the number of participated nucleons, for instance, can be measured. However, some geometrical structure such as the impact parameter and shape of collision regions are hard to determine directly from experiments [1]. Nevertheless, it is possible to predict these geometric configurations using the percentile centrality of a collision with Glauber models of contents of a typical nucleus [2]. These models, with a recent review [3], are divided into two classes. The \optical" Glauber calculations assume a smooth matter density and are described by a Fermi Distribution in radial direction and uniform over solid angle. The other type of model, Monte Carlo based models, assumes the stochastic nature of event-by-event individual nucleon distribution, and allows the collision properties to be determined by averaging over multiple events. From [3]and [4], it could be found that both models produce similar results for simple quantities, such as the number of participation nucleons ( \( {N_{part}} \) ), and impact parameters ( \( b \) ).
Furthermore, Recent research also demonstrated that despite the traditional impression that most participating particles collided in the elliptical region with eccentricities 2, there are also triangular regions with triangularity3 produced in heavy ion collisions [3].
In this paper, methods of PHOBOS Monte Carlo based Glauber Model (MC Glauber) like [5] are employed to simulate collisions of particles. In The Model section, assumptions for building up the model are introduced. In The Study of Participating Area section, the model is implemented to obtain the correlation between \( {N_{part}} \) , and \( {ε_{2}},{ε_{3}} \) .
2. The Model
The analysis process is a three-step method. Firstly, set up the nucleon positions in each nucleus, and make sure each nucleon's position is stochastically determined. Then assuming the straight-line collision and let two particles “collide" each other along the beam axis, so that we can tag nucleons as participating or spectating the collisions. Thirdly, repeat the collision event and obtain more data, then do the statistics to obtain correlations between \( {N_{part}} \) , and \( {ε_{2}},{ε_{3}} \) .
2.1. Nuclei Make Up
With reference to [2]and [6], the nucleons are uniformly distributed within the sphere, where the randomness distribution follows the Wood-Saxon distribution as shown below.
\( ρ(r)=\frac{1+w{(\frac{r}{R})^{2}}}{1+exp{(\frac{{r^{2}}-{R^{2}}}{{a^{2}}})}} \)
The data of nucleons generated are collected and compared with theoretical distribution, as shown in fig.1. Also, the result is consistent with figure 1 in [7], another model constructed by other researchers.
|
Figure 1. For 10 k randomly generated nuclei, two graphs are generated: (1) probability density function derived from Woods=Saxion density distribution (orange line) and histogram of the randomly generated nucleon to center of nuclei. (2): density distribution of nucleons plotted against length to the center fo the nucleus (orange line) and Woods=Saxon density distribution (blue line). |
2.2. Collision Process
The collision is assumed as inelastic, and the randomly chosen impact parameter is capped at a maximum of \( {b_{max}}≈20fm \gt 2{R_{A}} \) [5]. The center of each nucleus is therefore shifted \( (±\frac{b}{2},0,0) \) .
The diameter for the cross-section is also called the \ball diameter", which is given by equation (4) in [5] as
\( D=\sqrt[]{\frac{{σ_{NN}}}{π}},whereatLHC{σ_{NN}}≈72mb \)
The collision of nucleons from two different nuclei is determined by their relative transverse distance. If the distance between two nucleons is smaller than the ball diameter, the collision will be thought as occurred and these two nucleons will therefore be marked as collided. The figure 2 demonstrates an illustration of one collision event:
|
Figure 2. plot of two colliding Pb-208 nuclei with impact parameter b = 10, number of participants = 95, and number of collisions = 227, on the x-y and x-z plane. Nucleons with solid lines are participating nucleons, and nucleons with dotted lines are spectator nucleons. |
2.3. Eccentricity \( {(ε_{2}}) \) and Triangularity \( ({ε_{3}}) \) Calculation
The calculation of \( {ε_{2}},{ε_{3}} \) employed the following formula from [5]:
\( {ϵ_{2}}=\frac{\sqrt[]{{({r^{2}}cos{(2{ϕ_{part}})})^{2}}+{({r^{2}}sin{(2{ϕ_{part}})})^{2}}}}{{r^{2}}} \)
\( {ϵ_{3}}=\frac{\sqrt[]{{({r^{2}}cos{(3{ϕ_{part}})})^{2}}+{({r^{2}}sin{(3{ϕ_{part}})})^{2}}}}{{r^{2}}} \)
where \( r,{ϕ_{part}} \) denotes the location of participated nucleon in center of mass reference frame.
2.4. Comparison with Previous Model
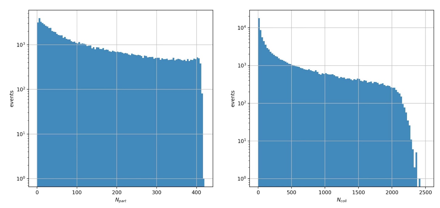
The figure 3 shows the histogram of \( {N_{part}} \) and number of collisions, \( {N_{coll}} \) , and it complies with the result from figure 8 in [8]:
|
Figure 3. distributions of the number of participating nucleons and number of collisions for 100k events of Pb-Pb collision at LHC energy. |
Figure 4 demonstrates the histogram of impact parameter versus \( \frac{dN}{db} \) . It could be noticed that the shape of the graph is linear when the impact parameter is less than certain value ( \( ∼14fm \) ), and after that there's a quick drop. That means when impact parameter is greater than \( 14fm \) , the collisions are less likely to happen.
|
Figure 4. Histogram of Impact Parameter versus Number of Events. |
3. The Study of Participating Area
3.1. Eccentricity ( \( {ϵ_{2}}) \) of the Collision Region
The left side of figure 5 This result agrees with the study of [2]. It presents that the less nucleon participated in collision, the more likely that shape will be an ellipse. This is easy to understand, as the less participants, the more participants will cluster at the foci of the ellipse, and hence make the shape more likely to be an ellipse. In quantum view, it could be understood as the fact that the elliptical shape is influence by both the fluctuation of the nucleons as well as the shape of the intersecting area [2], [5].
|
Figure 5. distribution of (1) eccentricity \( {ϵ_{2}} \) and (2) triangularity \( {ϵ_{3}} \) as a function of number of participating nucleons. The solid line indicates the mean eccentricity/triangularity for the number of participating nucleons. |
3.2. Triangularity ( \( {ϵ_{3}}) \) of the Collision Region
Notice that in figure 5, when only few nucleons participated in the collision, triangularity is significantly less than the value of eccentricity. This is because \( {ϵ_{3}} \) is only influenced by fluctuation, whereas the \( {ϵ_{2}} \) is influenced by both fluctuation of nucleons and the shape of intersection.
Also, the fast decrease of \( {ϵ_{3}} \) is demonstrated. Due to the increasing number of particles, fluctuation of nucleons in collision is significantly decreased, and hence the \( {ϵ_{3}} \) decreases.
3.3. General Analysis of \( {ϵ_{2}}{,ϵ_{3}} \)
Notice that in figure 5 both \( {ϵ_{2}} \) and \( {ϵ_{3}} \) reaches similar values when \( {N_{part}} \) reaches maximum. This happens as the influence of both fluctuation and shape of intersection is at minimum at this point. The impact of fluctuation is illustrated in section above. The intersecting shape tends to be similar when every nucleon participates in, and hence also has little impact on the elliptical shape.
4. Conclusion
This paper displayed the simulation of the collision of heavy nuclei with the application of the Glauber model based on Monte Carlo, and the geometry of eccentricity and triangularity of the colliding region is studied. The correlation between the shape of region and $N_{part}$ is found: the more nucleons participate in collision, the less likely that the colliding region will have elliptical or triangular shape.
This model does not ignore overlapping nucleons when generating nuclei, hence may have some random errors. However, this randomness should be eliminated by repeating collision simulation for tremendous number of events.
The limitation of randomness (numpy.rand) used in python coding may cause some systematic error to the model, but it shall not influence the result a lot.
References
[1]. C. Loizides and P. S. J. Nagle, "Improved version of the PHOBOS Glauber Monte Carlo," pp. 1-6, 2015.
[2]. M. B. B.Alver and P. S. C.Loizides, "The PHOBOS Glauber Monte Carlo," pp. 1-5, 2008.
[3]. S. J. S. Michael L. Miller and P. Steinberg, "Glauber Modeling in High-Energy Nuclear Collisions," pp. 1-39, 2007.
[4]. B. B. B. B.Alver, M. B. M.D.Baker, R. R. B. D.S.Barton and W. B. R.Bindel, "The Importance of Correlations and Fluctuations on the Initial Source Eccentricity in High-Energy Nucleus–Nucleus Collisions," pp. 1-18, 2007.
[5]. G. R. B.Alver, "Collision geometry fluctuations and triangular flow in heavy-ion collisions," pp. 1-8, 2010.
[6]. H. D. Vries, C. W. D. Jager and C. D. Vries, "Nuclear charge-density-distribution parameters from elastic electron scattering," p. 495, 1987.
[7]. M. Rybczyński, "INITIAL STATE CHARACTERISTICS OF PROTON–NUCLEUS AND NUCLEUS–NUCLEUS COLLISIONS FROM GLAUBER MONTE CARLO," pp. 1-29, 2014.
[8]. Z. W. Maciej Rybczynskia, "Initial state characteristics of proton-nucleus collisions from Glauber Monte Carlo," pp. 1-7, 2015.
Cite this article
Dong,B.;Huang,J.;Li,J.;Wei,M. (2023). The Implementation of Glauber Monte Carlo Model in High Energy Collision of Pb-208 Particles Collisions. Theoretical and Natural Science,5,81-86.
Data availability
The datasets used and/or analyzed during the current study will be available from the authors upon reasonable request.
Disclaimer/Publisher's Note
The statements, opinions and data contained in all publications are solely those of the individual author(s) and contributor(s) and not of EWA Publishing and/or the editor(s). EWA Publishing and/or the editor(s) disclaim responsibility for any injury to people or property resulting from any ideas, methods, instructions or products referred to in the content.
About volume
Volume title: Proceedings of the 2nd International Conference on Computing Innovation and Applied Physics (CONF-CIAP 2023)
© 2024 by the author(s). Licensee EWA Publishing, Oxford, UK. This article is an open access article distributed under the terms and
conditions of the Creative Commons Attribution (CC BY) license. Authors who
publish this series agree to the following terms:
1. Authors retain copyright and grant the series right of first publication with the work simultaneously licensed under a Creative Commons
Attribution License that allows others to share the work with an acknowledgment of the work's authorship and initial publication in this
series.
2. Authors are able to enter into separate, additional contractual arrangements for the non-exclusive distribution of the series's published
version of the work (e.g., post it to an institutional repository or publish it in a book), with an acknowledgment of its initial
publication in this series.
3. Authors are permitted and encouraged to post their work online (e.g., in institutional repositories or on their website) prior to and
during the submission process, as it can lead to productive exchanges, as well as earlier and greater citation of published work (See
Open access policy for details).
References
[1]. C. Loizides and P. S. J. Nagle, "Improved version of the PHOBOS Glauber Monte Carlo," pp. 1-6, 2015.
[2]. M. B. B.Alver and P. S. C.Loizides, "The PHOBOS Glauber Monte Carlo," pp. 1-5, 2008.
[3]. S. J. S. Michael L. Miller and P. Steinberg, "Glauber Modeling in High-Energy Nuclear Collisions," pp. 1-39, 2007.
[4]. B. B. B. B.Alver, M. B. M.D.Baker, R. R. B. D.S.Barton and W. B. R.Bindel, "The Importance of Correlations and Fluctuations on the Initial Source Eccentricity in High-Energy Nucleus–Nucleus Collisions," pp. 1-18, 2007.
[5]. G. R. B.Alver, "Collision geometry fluctuations and triangular flow in heavy-ion collisions," pp. 1-8, 2010.
[6]. H. D. Vries, C. W. D. Jager and C. D. Vries, "Nuclear charge-density-distribution parameters from elastic electron scattering," p. 495, 1987.
[7]. M. Rybczyński, "INITIAL STATE CHARACTERISTICS OF PROTON–NUCLEUS AND NUCLEUS–NUCLEUS COLLISIONS FROM GLAUBER MONTE CARLO," pp. 1-29, 2014.
[8]. Z. W. Maciej Rybczynskia, "Initial state characteristics of proton-nucleus collisions from Glauber Monte Carlo," pp. 1-7, 2015.




