Longevity Genes and Psychological Anti-Aging – Strategies and Influencing Factors in Middle-Aged Women

Research Article
Open access

Longevity Genes and Psychological Anti-Aging – Strategies and Influencing Factors in Middle-Aged Women

Jiatong Li 1*
  • 1 Beijing Haidian District Daoxiang Lake School    
  • *corresponding author 13691477231@163.com
Published on 28 October 2025 | https://doi.org/10.54254/2753-8818/2025.AU28745
TNS Vol.147
ISSN (Print): 2753-8818
ISSN (Online): 2753-8826
ISBN (Print): 978-1-80590-489-2
ISBN (Online): 978-1-80590-490-8

Abstract

This study explores the psychosocial and lifestyle factors influencing perceived biological aging among middle-aged Chinese women. A total of 39 participants aged 40 and above completed a 46-item questionnaire assessing health status, stress, emotional support, diet, physical activity, and aging perception. Participants were categorized into low, moderate, or high aging groups based on self-reported indicators. Women in the low-aging group reported greater emotional and partner support, lower family-related stress, healthier diets, and more frequent self-care and physical activity. In contrast, high-aging participants experienced greater stress, digestive discomfort, sedentary habits, and exposure to secondhand smoke and alcohol. Interestingly, intermittent fasting was most common in the moderate-aging group. These findings underscore the significant role of psychosocial resilience and modifiable lifestyle behaviors in shaping aging perceptions. The study advocates for holistic, culturally sensitive interventions to support healthy aging in women, particularly those navigating caregiving, career, and health demands during midlife.

Keywords:

Biological aging, Psychological resilience, Middle-aged women, Aging perception, Biopsychosocial model

Li,J. (2025). Longevity Genes and Psychological Anti-Aging – Strategies and Influencing Factors in Middle-Aged Women. Theoretical and Natural Science,147,39-44.
Export citation

1. Introduction

Aging is a complex process influenced by both biological mechanisms and psychological resilience. While biological aging is characterized by genomic instability, mitochondrial dysfunction, and hormonal changes, psychological factors such as stress management, emotional well-being, and cognitive resilience also play a crucial role in the aging process [1,2]. Studies indicate that women over 40 experience significant shifts in both physical and mental health, with menopause accelerating biological aging [3] and psychological stress impacting immune function and longevity [4]. However, the interplay between biological aging and psychological well-being remains understudied, particularly in middle-aged Chinese women.

1.1. Biological mechanisms of aging and longevity

The hallmarks of aging provide a molecular framework for understanding biological decline. Key factors include epigenetic modifications, such as DNA methylation changes, which serve as markers of biological age and are influenced by lifestyle and psychological stress [5]. Additionally, hormonal changes during menopause contribute to aging acceleration, as reduced estrogen levels affect metabolism, bone density, and cognitive function [3]. Emerging research highlights the role of mitochondrial function and oxidative stress in aging, further demonstrating the interconnectedness between biological and environmental influences on longevity [2].

While these biological processes determine aging at the cellular level, psychological factors can modulate their effects. Chronic stress, for instance, has been shown to accelerate epigenetic aging, increase systemic inflammation, and shorten telomere length [6]. Conversely, positive mental states, mindfulness, and social engagement have been linked to improved health span by promoting neuroprotection and immune resilience [4].

1.2. Psychological anti-aging strategies and mental resilience

Beyond biological determinants, psychological anti-aging strategies have gained increasing attention in longevity research. Stress management, cognitive stimulation, emotional resilience, and social support have all been identified as key contributors to aging well [3]. A study on psychological aging in middle-aged women suggests that those who actively engage in mental exercises, meditation, and strong social networks report lower levels of stress-related inflammation and improved cognitive function [4].

Moreover, psychological interventions such as cognitive reframing, gratitude practice, and mindfulness-based stress reduction (MBSR) have been associated with slower epigenetic aging and improved overall well-being [5]. Mindset and perception of aging also significantly influence health outcomes—women who view aging as a natural and positive process tend to have better cardiovascular and cognitive health than those who associate it with decline [3].

1.3. Self-perceived aging and longevity in middle-aged women

Understanding how middle-aged women perceive their own aging process is crucial for designing effective longevity interventions. Surveys of Chinese women over 40 years old suggest that subjective aging perceptions, levels of life satisfaction, and social relationships significantly impact overall health outcomes [4]. Those who actively engage in anti-aging lifestyle modifications, such as regular exercise, dietary adjustments, and cognitive engagement, tend to exhibit better psychological resilience and self-reported well-being.

Additionally, studies have linked optimism and emotional stability to longer lifespans, highlighting the importance of integrating mental health support into longevity research [2]. Cultural factors also play a role—for example, traditional Chinese medicine and holistic wellness practices emphasize mind-body balance, which may contribute to healthier aging perceptions among Chinese women.

1.4. Research gap and study objective

This study aims to bridge this gap by investigating how psychological resilience, lifestyle behaviors, and perceived biological aging interact in shaping aging experiences among middle-aged Chinese women. While prior studies often isolate molecular or subjective dimensions of aging, this research combines psychosocial survey data with self-reported aging trajectories to provide a holistic, community-level view of aging. The findings aim to inform culturally relevant strategies for supporting women’s health and well-being during midlife.

2. Methods

2.1. Participants

This study included 39 female participants aged 40 and older, primarily from urban regions in China. Participants were recruited through online platforms, including social media groups and wellness communities. Inclusion criteria required participants to be biologically female, aged 40 or above, and able to provide informed consent.

2.2. Survey design and measures

A structured 46-item questionnaire was developed to capture a wide range of variables related to aging. The survey covered participants’ demographic and health background, including age group, marital status, parental status, history of chronic illness, and self-rated overall health.

To assess physical and psychological aging symptoms, the questionnaire asked about experiences such as fatigue, poor sleep, memory decline, skin changes, and stress-related issues. Lifestyle and behavioral components included dietary patterns, exercise frequency, caffeine and alcohol consumption, engagement in self-care routines, and practices like intermittent fasting.

In addition, the survey explored psychosocial dimensions such as emotional support, partner involvement in family responsibilities, and the types and intensity of family-related stressors. Question types included single-choice, multiple-choice, and Likert-scale formats. Key psychological constructs—particularly those related to aging perception and mental resilience—were adapted from previously validated instruments [7] to ensure reliability and conceptual alignment with the study’s objectives.

2.3. Data collection

Participants completed the anonymous online questionnaire in March 2025. Responses were collected using a secure survey platform and exported to Microsoft Excel for initial review and Python (pandas, seaborn, scipy) for statistical analysis.

2.4. Data analysis

Data cleaning involved checking for duplicates and standardizing categorical responses. Descriptive statistics were calculated to summarize participant characteristics. Group comparisons were conducted based on self-reported biological aging level (categorized as "Low Aging," "Moderate Aging," and "High Aging") using chi-square tests for categorical variables and t-tests or Kruskal–Wallis tests for continuous or ordinal variables.

Associations between lifestyle behaviors, support levels, and perceived aging were visualized using bar plots and stacked bar charts. Qualitative responses regarding aging strategies and stressors were analyzed using thematic coding and plotted by frequency.

图片
Figure 1. Psychosocial stress, support, and self-care across aging groups

(A–D) Frequency of family stress, partner support, self-care habits, and emotional support by biological aging level. (E–G) Top stress sources reported in low-, moderate-, and high-aging groups. Low-aging participants reported less stress, more support, and more regular self-care. High-aging individuals cited more diverse and intense stressors, including health and financial concerns.

3. Results

Among the 39 participants, most were aged 40–49, married, and had children. Overall health was generally rated as fair to good, with few reporting chronic conditions. While demographically similar, participants varied in family roles, self-care routines, and lifestyle habits.

Participants were categorized into low, moderate, or high biological aging groups based on self-reported perceptions. Women in the low-aging group reported lower levels of family-related stress (Figure 1A), greater emotional and partner support (Figures 1B, 1D), and more frequent self-care activities (Figure 1C). Their primary stressors were childcare and career demands, whereas those in the high-aging group cited financial pressure, health concerns, and spousal conflict more often (Figures 1E–1G).

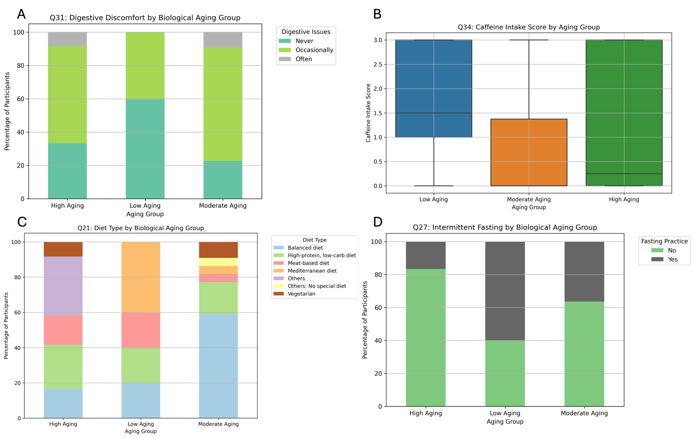
Lifestyle differences were also evident. Digestive discomfort was more common among high-aging participants (Figure 2A). Caffeine consumption followed a U-shaped pattern across aging groups (Figure 2B). Low-aging individuals favored balanced or high-protein diets, while high-aging participants reported less structured eating habits (Figure 2C). Intermittent fasting was more prevalent in the moderate-aging group (Figure 2D).

Environmental and behavioral exposures further distinguished the groups. High-aging participants reported more secondhand smoke exposure and alcohol use (Figures 3A, 3B). In contrast, low-aging individuals were more physically active, often engaging in cardiovascular or strength-training exercises, while sedentary behavior was more common among high-aging participants (Figure 3C).

Overall, greater psychosocial support, healthier lifestyle habits, and reduced environmental stressors were associated with lower perceived biological aging.

图片
Figure 2. Digestive health and dietary habits across aging groups

(A) Frequency of digestive discomfort by biological aging group. (B) Caffeine intake score across groups. (C) Distribution of self-reported diet types. (D) Intermittent fasting practice by aging group. Digestive issues were more common in the high-aging group, while the low-aging group reported healthier diets. Intermittent fasting was most prevalent among moderate-aging participants.

4. Discussion

This study was motivated by personal experience—observing the accelerated aging of my mother in her 40s—and aimed to explore the underrecognized health challenges faced by middle-aged Chinese women. These women often balance caregiving, parenting, and professional responsibilities, yet receive limited attention in aging research and public discourse. Our goal was to investigate how psychological, behavioral, and social factors relate to perceived biological aging in this demographic.

Findings reveal a clear association between lower perceived aging and stronger psychosocial support, more frequent self-care, and healthier behaviors. These patterns echo prior research showing that social engagement and positive mental states contribute to healthier aging [4]. Conversely, high-aging participants reported higher stress, lower support, less consistent dietary practices, and sedentary lifestyles—factors linked to inflammation and biological decline [2,3].

Environmental exposures also differed by group. High-aging participants reported greater exposure to secondhand smoke and alcohol—known risk factors for oxidative stress—while low-aging participants were more physically active. Interestingly, intermittent fasting was most common among the moderate-aging group, suggesting that targeted dietary interventions may offer protective benefits even when other risks are present.

Despite these insights, the study has limitations. The sample size was small (N = 39), and all measures were self-reported, which may introduce bias. Furthermore, no objective biomarkers were collected to confirm biological aging levels. Still, the integration of survey-based psychosocial and lifestyle data offers a valuable framework for exploring aging beyond genetics alone.

This work highlights the need for culturally informed, holistic interventions to support women’s well-being during midlife and advocates for greater inclusion of their voices in longevity research.

图片
Figure 3. Environmental and lifestyle factors across aging groups

(A) Reported exposure to secondhand smoke. (B) Frequency of alcohol consumption. (C) Types of physical activity by biological aging group. High-aging participants reported more exposure to smoke and alcohol and were more likely to be sedentary. Low-aging individuals were more engaged in cardio and strength-training activities.

5. Conclusion

This study highlights the central role of psychosocial and lifestyle factors—emotional support, stress, self-care, and daily habits—in shaping perceived biological aging among middle-aged Chinese women. Those with lower aging scores reported better emotional well-being, stronger support networks, and healthier routines.

Findings support a biopsychosocial model of aging, where psychological and environmental influences are integral, not secondary, to biological outcomes. Effective interventions should go beyond medical treatment to include mental health support, stress reduction, and culturally sensitive education that fosters positive aging perceptions.

Future studies should involve larger, more diverse samples, adopt longitudinal methods, and incorporate biological markers to validate and expand these findings. Centering the experiences of Chinese women offers a more inclusive and practical approach to understanding and supporting healthy aging.


References

[1]. López-Otín, C., Blasco, M. A., Partridge, L., Serrano, M., & Kroemer, G. (2013). The hallmarks of aging. Cell, 153(6), 1194–1217. https: //doi.org/10.1016/j.cell.2013.05.039

[2]. Guo, J., Huang, X., Dou, L., et al. (2022). Aging and aging-related diseases: From molecular mechanisms to interventions and treatments. Signal Transduction and Targeted Therapy, 7, 391. https: //doi.org/10.1038/s41392-022-01251-0

[3]. Levine, M. E., Lu, A. T., Chen, B. H., et al. (2016). Menopause accelerates biological aging. PNAS, 113(33), 9327–9332. https: //doi.org/10.1073/pnas.1604558113

[4]. Yang, X. X., Zhao, M. M., He, Y. F., et al. (2022). Facial skin aging stages in Chinese females. Frontiers in Medicine, 9, 870926. https: //doi.org/10.3389/fmed.2022.870926

[5]. Sen, P., Shah, P. P., Nativio, R., & Berger, S. L. (2016). Epigenetic mechanisms of longevity and aging. Cell, 166(4), 822–839. https: //doi.org/10.1016/j.cell.2016.07.050

[6]. Epel, E. S., Blackburn, E. H., Lin, J., et al. (2004). Accelerated telomere shortening in response to life stress. PNAS, 101(49), 17312–17315. https: //doi.org/10.1073/pnas.0407162101

[7]. Levy BR, Myers LM. Preventive health behaviors influenced by self-perceptions of aging. Prev Med. 2004 Sep; 39(3): 625-9. doi: 10.1016/j.ypmed.2004.02.029. PMID: 15313104.


Cite this article

Li,J. (2025). Longevity Genes and Psychological Anti-Aging – Strategies and Influencing Factors in Middle-Aged Women. Theoretical and Natural Science,147,39-44.

Data availability

The datasets used and/or analyzed during the current study will be available from the authors upon reasonable request.

Disclaimer/Publisher's Note

The statements, opinions and data contained in all publications are solely those of the individual author(s) and contributor(s) and not of EWA Publishing and/or the editor(s). EWA Publishing and/or the editor(s) disclaim responsibility for any injury to people or property resulting from any ideas, methods, instructions or products referred to in the content.

About volume

Volume title: Proceedings of ICBioMed 2025 Symposium: AI for Healthcare: Advanced Medical Data Analytics and Smart Rehabilitation

ISBN:978-1-80590-489-2(Print) / 978-1-80590-490-8(Online)
Editor:Alan Wang
Conference date: 17 October 2025
Series: Theoretical and Natural Science
Volume number: Vol.147
ISSN:2753-8818(Print) / 2753-8826(Online)

© 2024 by the author(s). Licensee EWA Publishing, Oxford, UK. This article is an open access article distributed under the terms and conditions of the Creative Commons Attribution (CC BY) license. Authors who publish this series agree to the following terms:
1. Authors retain copyright and grant the series right of first publication with the work simultaneously licensed under a Creative Commons Attribution License that allows others to share the work with an acknowledgment of the work's authorship and initial publication in this series.
2. Authors are able to enter into separate, additional contractual arrangements for the non-exclusive distribution of the series's published version of the work (e.g., post it to an institutional repository or publish it in a book), with an acknowledgment of its initial publication in this series.
3. Authors are permitted and encouraged to post their work online (e.g., in institutional repositories or on their website) prior to and during the submission process, as it can lead to productive exchanges, as well as earlier and greater citation of published work (See Open access policy for details).

References

[1]. López-Otín, C., Blasco, M. A., Partridge, L., Serrano, M., & Kroemer, G. (2013). The hallmarks of aging. Cell, 153(6), 1194–1217. https: //doi.org/10.1016/j.cell.2013.05.039

[2]. Guo, J., Huang, X., Dou, L., et al. (2022). Aging and aging-related diseases: From molecular mechanisms to interventions and treatments. Signal Transduction and Targeted Therapy, 7, 391. https: //doi.org/10.1038/s41392-022-01251-0

[3]. Levine, M. E., Lu, A. T., Chen, B. H., et al. (2016). Menopause accelerates biological aging. PNAS, 113(33), 9327–9332. https: //doi.org/10.1073/pnas.1604558113

[4]. Yang, X. X., Zhao, M. M., He, Y. F., et al. (2022). Facial skin aging stages in Chinese females. Frontiers in Medicine, 9, 870926. https: //doi.org/10.3389/fmed.2022.870926

[5]. Sen, P., Shah, P. P., Nativio, R., & Berger, S. L. (2016). Epigenetic mechanisms of longevity and aging. Cell, 166(4), 822–839. https: //doi.org/10.1016/j.cell.2016.07.050

[6]. Epel, E. S., Blackburn, E. H., Lin, J., et al. (2004). Accelerated telomere shortening in response to life stress. PNAS, 101(49), 17312–17315. https: //doi.org/10.1073/pnas.0407162101

[7]. Levy BR, Myers LM. Preventive health behaviors influenced by self-perceptions of aging. Prev Med. 2004 Sep; 39(3): 625-9. doi: 10.1016/j.ypmed.2004.02.029. PMID: 15313104.